公開日: 11/25/2021

Levey-Jennings管理図

Levey-Jennings管理図では、長期シグマに基づいて、工程平均と管理限界を計算します。管理限界は、中央線からK*sの位置にあります(デフォルトで、K = 3)。

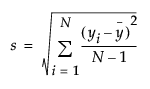
Levey-Jennings管理図における標準偏差(s)は、「一変量の分布」プラットフォームの標準偏差と同じ方法で計算されます。

Equation shown here

Levey and Jennings (1950)およびWestgard (2002)を参照してください。

より詳細な情報が必要な場合や、質問があるときは、JMPユーザーコミュニティで答えを見つけましょう (community.jmp.com).