予測モデルおよび発展的なモデル > 曲線のあてはめ > 「曲線のあてはめ」プラットフォームの統計的詳細
公開日: 11/25/2021

「曲線のあてはめ」プラットフォームの統計的詳細

モデル式

表14.1に、「曲線のあてはめ」の赤い三角ボタンのメニューで用意されているモデルの式を示します。

表14.1 「曲線のあてはめ」のモデル計算式

モデル

計算式

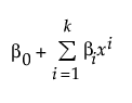
多項式

Image shown here

Equation shown here

kは多項式の次数です。これらのモデルは、「モデルのあてはめ」プラットフォームや「二変量の関係」プラットフォームでもあてはめることができます。

ロジスティック 2P

Image shown here

Equation shown here

a = 増加率

b = 変曲点

応答変数のすべての値が0~1である場合にのみ使用可能です。

ロジスティック 3P

Image shown here

Equation shown here

a = 増加率

b = 変曲点

c = 漸近線

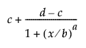
ロジスティック 4P

Image shown here

Equation shown here

a = 増加率

b = 変曲点

c = 下側漸近線

d = 上側漸近線

ロジスティック 4P Rodbard

Image shown here

Equation shown here

a = 増加率

b = 変曲点

c = 下側漸近線

d = 上側漸近線

説明変数の値が正の場合にのみ使用可能です。

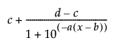
ロジスティック 4P Hill

Image shown here

Equation shown here

a = 増加率

b = 変曲点

c = 下側漸近線

d = 上側漸近線

ロジスティック 5P

Image shown here

Equation shown here

a = 増加率

b = 変曲点

c = 漸近線1

d = 漸近線2

f = べき乗

プロビット 2P

Image shown here

Equation shown here

a = 増加率

b = 変曲点

F = 正規分布累積確率

応答変数のすべての値が0~1である場合にのみ使用可能です。

プロビット 4P

Image shown here

Equation shown here

a = 増加率

b = 変曲点

c = 漸近線1

d = 漸近線2

F = 正規分布累積確率

Gompertz 3P

Image shown here

Equation shown here

a = 漸近線

b = 増加率

c = 変曲点

Gompertz 4P

Image shown here

Equation shown here

a = 下側漸近線

b = 上側漸近線

c = 増加率

d = 変曲点

Weibull成長

Image shown here

Equation shown here

a = 上方漸近線

b = 増加率

c = 変曲点

利用できるのは、応答変数と説明変数の値が非負の場合だけです。

指数 2P

Image shown here

Equation shown here

a = スケール

b = 増加率

指数 3P

Image shown here

Equation shown here

a = 漸近線

b = スケール

c = 増加率

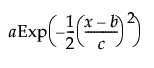
双指数 4P

Image shown here

Equation shown here

a = スケール1

b = 減衰率1

c = スケール2

d = 減衰率2

応答変数の値が正の場合にのみ使用可能です。

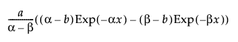
双指数 5P

Image shown here

Equation shown here

a = 漸近線

b = スケール1

c = 減衰率1

d = スケール2

f = 減衰率2

単分子成長

Image shown here

Equation shown here

a = 漸近線

b = スケール

c = 増加率

細胞成長 4P

Image shown here

Equation shown here

a = 死亡率dがゼロの場合のピーク値

b = 時間ゼロにおける応答

c = 細胞分裂率

d = 細胞死亡率

応答変数の値が正で、かつ説明変数の値が負でない場合にのみ使用可能です。

Gauss型ピーク

Image shown here

Equation shown here

a = ピーク値

b = 臨界点

c = 増加率

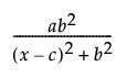
Lorentz型ピーク

Image shown here

Equation shown here

a = ピーク値

b = 増加率

c = 臨界点

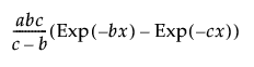
1コンパートメント 経口投与

Image shown here

Image shown here

Equation shown here

a = AUC(曲線下面積)

b = 消失速度

c = 吸収速度

応答変数の値と説明変数の値がすべて正の場合にのみ使用可能です。

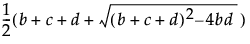
2コンパートメント 急速静注

Image shown here

Image shown here

Equation shown here

a =Equation shown here

b =Equation shown here

a = 初期濃度

b = 移行速度 流入

c = 移行速度 流出

d = 消失速度

応答変数の値と説明変数の値がすべて正の場合にのみ使用可能です。

Michaelis-Menten

Image shown here

Equation shown here

a = 最大反応速度

b = 解離定数

応答変数の値と説明変数の値がすべて正の場合にのみ使用可能です。

より詳細な情報が必要な場合や、質問があるときは、JMPユーザーコミュニティで答えを見つけましょう (community.jmp.com).