順序尺度の因子は、名義尺度の因子とは別の方法でコード変換されます。パラメータ推定値の解釈、検定、最小2乗平均も異なります。
順序尺度の因子では、最初の水準はコントロール水準(対照水準、ベースライン水準)として扱われます。また、各パラメータの値は、水準を1つ上げた時の、応答に与える効果を表します。このような順序尺度の因子のコード変換は、最初の用量が0で、因子の水準が異なる用量を表している場合に適しています。次の表は、水準が3つの順序尺度の因子の例です。
|
項 |
コード変換した列 |
|
|
|
A |
a2 |
a3 |
|
|
A1 |
0 |
0 |
コントロール水準、用量はゼロ |
|
A2 |
1 |
0 |
少ない用量 |
|
A3 |
1 |
1 |
多い用量 |
計画のパターンは、1で構成された下三角行列で、その他の要素はゼロとなります。
単純な主効果モデルでは、これは次のように表されます。

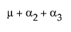
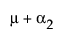
mはA = 1における応答の期待値、m + a2はA = 2における期待値、m + a2 + a3はA = 3における期待値です。つまり、a2はA = 1からA = 2へ移動したときの効果を推定したもので、a3はA = 2からA = 3へ移動したときの効果を推定したものです。
ある順序尺度の主効果のパラメータがすべて同じ符号を持つ場合、応答の効果は順序尺度の全水準で単調に推移します。
順序尺度の交互作用は、名義尺度の効果と同じく、因子列の横の直積として作成されます。順序尺度の因子が2つ(AとB)あり、それぞれに水準が3つある例について検討してみます。JMPの順序尺度のコード変換を行った後、次の表のような計画行列が作成されます。交互作用のパターンは、1から成る下三角行列をブロックにまとめた下三角行列です。
|
|
|
|
|
|
|
A*B |
|||
|---|---|---|---|---|---|---|---|---|---|
|
|
|
|
|
|
|
A2 |
A3 |
||
|
A |
B |
A2 |
A3 |
B2 |
B3 |
B2 |
B3 |
B2 |
B3 |
|
A1 |
B1 |
0 |
0 |
0 |
0 |
0 |
0 |
0 |
0 |
|
A1 |
B2 |
0 |
0 |
1 |
0 |
0 |
0 |
0 |
0 |
|
A1 |
B3 |
0 |
0 |
1 |
1 |
0 |
0 |
0 |
0 |
|
A2 |
B1 |
1 |
0 |
0 |
0 |
0 |
0 |
0 |
0 |
|
A2 |
B2 |
1 |
0 |
1 |
0 |
1 |
0 |
0 |
0 |
|
A2 |
B3 |
1 |
0 |
1 |
1 |
1 |
1 |
0 |
0 |
|
A3 |
B1 |
1 |
1 |
0 |
0 |
0 |
0 |
0 |
0 |
|
A3 |
B2 |
1 |
1 |
1 |
0 |
1 |
0 |
1 |
0 |
|
A3 |
B3 |
1 |
1 |
1 |
1 |
1 |
1 |
1 |
1 |
メモ: 効果が存在しないかどうかを検定する場合、主効果だけの単純なモデルなら、名義尺度と順序尺度の因子にはあまり違いがありません。しかし、交互作用がある場合は大きな違いが生じます。ほとんどのモデルでは、順序尺度ではなく名義尺度の因子を使う方が適切です。
それぞれのパラメータの意味は、次の表を見るとわかります。この表は、セル平均の期待値をパラメータで表したもので、mは切片、a2は水準A2のパラメータ、という具合に続いていきます。
|
|
B1 |
B2 |
B3 |
|
A1 |
|
|
|
|
A2 |
|
|
|
|
A3 |
|
|
|
Aの主効果に対する検定では、Bが最初の水準であるときのAの違い(上表における第1列目)が検定されます。同じように、Bの主効果に対する検定では、Aが最初の水準であるときのBの違い(上表における第1行目)が検定されます。順序尺度に対するこのようなコード変換は、2つの因子が、異なる2剤の薬の用量であるときに適しています。そのような場合、分析の主目的は、それぞれの薬の効き目があるかどうかで、副次的な目的は、両方の薬が投与された場合に薬の相互作用があるかどうかでしょう。場合によっては、薬の量が多すぎると危険を招くことがあるためです。
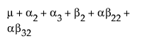
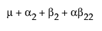
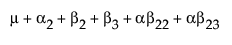
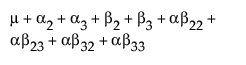
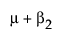
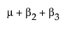
各セルの期待値は、セルが位置している行と列も含め、そのセルより左側と上側にあるパラメータをすべて加算して求めます。最後のセルの期待値は、すべてのパラメータを合計したものです。
他の効果に含まれている効果に対する仮説検定は、順序尺度と名義尺度のコード変換で異なりますが、他の効果に含まれていない効果に対する検定は同じです。上記の交差計画の場合、交互作用に対する検定は、AとBを名義尺度と順序尺度のどちらであてはめたかに関係なく、同じになります。
前述のとおり、最小2乗平均は、他のすべての因子を何らかの中立な値に固定したときの、ある水準の組み合わせに対する予測値です。JMPでは、順序尺度の因子に対しては、中立な値として、第1水準(対照水準、ベースライン水準)を用います。
順序尺度の因子が関係する最小2乗平均をこのように定義するのは、「効果に対する仮説検定は、最小2乗平均が等しいことを検定するのと同じにすべきだ」という考えに基づくものです。
順序尺度のコード変換では、順序尺度の効果の第1水準がベースラインとみなされるので、交互作用に欠測セルがあるときや、交互作用のデータがないときですら、主効果に対して良い検定ができます。
もう一度、前出の例を検討します。各セルに2つの観測値がありますが、A3B2のセルには観測値がありません。因子が名義尺度と順序尺度でコード変換されたときの結果を比べてみましょう。図A.2に示すように、モデル全体の適合度は同じです。
|
Y |
A |
B |
|
12 |
1 |
1 |
|
14 |
1 |
1 |
|
15 |
1 |
2 |
|
16 |
1 |
2 |
|
17 |
2 |
1 |
|
17 |
2 |
1 |
|
18 |
2 |
2 |
|
19 |
2 |
2 |
|
20 |
3 |
1 |
|
24 |
3 |
1 |
図A.2 名義尺度(左)と順序尺度(右)の適合度統計量
コード変換が異なってもモデル全体の適合度は同じですが、パラメータ推定値は大きく異なってきます。この例では、名義尺度である場合にはいくつかのパラメータの推定可能性に欠測セルが影響を与えます。しかし、この例では、順序尺度である場合にはパラメータの推定可能性に欠測セルはまったく影響しません。
図A.3 名義尺度(左)と順序尺度(右)のパラメータ推定値
「特異性の詳細」には一次従属性が表示されています(ここに表示されている値を検討することで、どこが欠測セルであるかを識別することができます)。
図A.4 名義尺度(左)と順序尺度(右)の「特異性の詳細」
名義尺度の場合、Bの主効果に対する検定の自由度は少なくなり、その検定は行われません。一方、順序尺度の場合、ベースラインである第1水準に欠測セルがないので、Bの主効果の自由度はそのままです。
図A.5 名義尺度(左)と順序尺度(右)の「固定効果の検定」
最小2乗平均も異なります。名義尺度の最小2乗平均のいくつかは推定不可能になっていますが、順序尺度の最小2乗平均はすべて推定可能になっています。A*Bの最小2乗平均(セル平均)を見ると、このようになる理由を確認できます。なお、A*Bの最小2乗平均は、両者で一致します。図A.6は、名義尺度と順序尺度における最小2乗平均です。
図A.6 名義尺度(左)と順序尺度(右)の「最小2乗平均」表