公開日: 11/25/2021

検出力

検出力を計算するには、非心度のF分布を使用します。計算式は、次のとおりです(O’Brien and Lohr 1984)。

Power = Prob(F > Fcrit, ν1, ν2, nc)

ここで

非心度パラメータnc、分子自由度ν1、分母自由度ν2F分布に従う確率変数が、 Fcritよりも大きくなる確率を指します。F(nc, ν1, ν2)はν1およびν2の自由度を持つF分布の累積確率1 - αにおける分位点です。

ν1 = r - 1は、分子自由度。

ν2 = r(n - 1)は、分母自由度。

nは、各グループの標本サイズ。

rは、グループの個数。

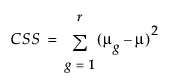
nc = n(CSS)/σ2は、非心度パラメータ。

Equation shown here は、仮説の平方和。

μgは、g番目のグループの平均。

μは、全体平均。

σ2は、誤差の分散。

より詳細な情報が必要な場合や、質問があるときは、JMPユーザーコミュニティで答えを見つけましょう (community.jmp.com).