実験計画(DOE) > 技術的詳細 > 相対的な予測分散
公開日: 11/25/2021

相対的な予測分散

次の記号を用います。

X

計画行列(デザイン行列)。モデル行列を参照してください。「カスタム計画」プラットフォームで作成されたデータテーブルには、モデル行列を表示するスクリプトがあります。計画行列は、モデル行列に似ています。X行列の保存を参照してください。

σ2

誤差分散。

Equation shown here

最小2乗法で求めたパラメータ推定値のベクトル。

Equation shown here

Xi番目の行。

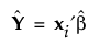
この表記を使うと、Xの第i行に対する応答の予測値は、次式によって求められます。

Equation shown here

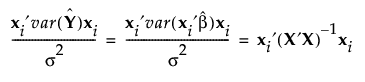
Equation shown hereにおける相対的な予測分散は、次式によって求められます。

Equation shown here

より詳細な情報が必要な場合や、質問があるときは、JMPユーザーコミュニティで答えを見つけましょう (community.jmp.com).