三元管理図において群内シグマの推定値を範囲の平均から推定する場合、次式が使われます。

この式では、次のような記号を使用しています。
Ri = i番目のサブグループの範囲
ni = i番目のサブグループの標本サイズ
d2(ni)は、母標準偏差が1であるni個の独立した正規分布に従う確率変数の範囲の期待値
Nは、ni ≥ 2 であるサブグループの数
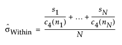
三元管理図での群内シグマの推定値を、標準偏差の不偏推定値の平均から推定する場合、次式が使われます。

この式では、次のような記号を使用しています。
siは、i番目のサブグループの標本の標準偏差
ni = i番目のサブグループの標本サイズ
c4(ni)は、母標準偏差が1であるni個の独立した正規分布に従う確率変数の標準偏差の期待値
Nは、ni ≥ 2 であるサブグループの数
三元管理図における群間シグマの推定値は、サブグループの平均の移動範囲を使用して推定されます。

この式では、次のような記号を使用しています。
= (MR2+MR3+...+MRN)/(N-1)で算出した非欠測値の移動範囲の平均(ここで、MRi = |yi - yi-1|)
d2(2)は、母標準偏差が1である2個の独立した正規分布に従う確率変数の範囲の期待値
(サブグループの標本サイズの調和平均)。
メモ: 群間シグマの推定値が負の値になる場合は、0に設定されます。
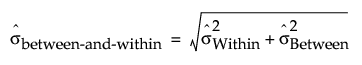
三元管理図における「群間+群内シグマ」の推定値は、群内シグマの推定値と群間シグマの推定値を組み合わせて推定されます。
