平滑化法モデルとして[単純移動平均]を選択すると、「単純平滑化平均の指定」ウィンドウが開きます。以下の説明において、単純移動平均(SMA; Simple Moving Average)におけるウィンドウの幅をwとします。また、w個の連続する観測値の平均を、ft=(yt+yt-1+yt-2+...yt-(w-2)+yt-(w-1))/wとします。
図18.9 「単純平滑化平均の指定」ウィンドウ
平滑化を行うウィンドウの幅を入力してください。
平滑化を行うウィンドウの幅(w)は、平均を取る連続した点の数を指します。幅が大きいほど、移動平均の曲線は滑らかになります。
中心化なし
平滑化を行うウィンドウを、時点tまでの点で構成します。つまり、ftを時点tでの移動平均とします。
中心化
平滑化を行うウィンドウを、当該の時点を中心として設定します。
– wが奇数の場合、ftを、時点t-(w-1)/2での移動平均とします。
– wが偶数の場合、ftを、時点t-(w-1)/2での移動平均とします。ただし、データテーブルに保存されるftは、時点t-(w-2)/2での移動平均とします。
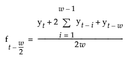
中心化し、偶数サイズの場合は二重
wが偶数の場合、ウィンドウは、該当の時点を中心とすることができません。このオプションは、ほぼ中心化された2つのウィンドウを構成し、それら2つの移動平均の平均を取ります。このオプションでは、移動平均は次のように求められます。

平滑化法モデルのオプションのうち、[単純移動平均]以外のものを選択すると、平滑化法モデルの指定ウィンドウが開きます。ウィンドウのタイトルやオプションの種類は、選択した平滑化法モデルによって異なります。
図18.10 平滑化法モデルの指定ウィンドウ
予測区間
予測区間の信頼水準を設定します。
1周期における時点数
(季節指数平滑化法モデルの場合のみ。)季節指数平滑化法モデルの1期間あたりの観測値数を指定します。
制約付き
推定において平滑化重みに対する制約の種類を指定できます。以下の制約オプションがあります。
0~1
平滑化重みの値を0~1の範囲に制限します。
制約なし
パラメータの値に特に制約を設けません。
定常性/反転可能性
該当するARIMAモデルが定常性および反転可能性を満たすように、パラメータが制約されます。
カスタム
分析者独自の制約を設定するためのパネルが表示されます。開かれたパネルにて、個々の平滑化の重みに対して独自の制約を設定できます。各平滑化の重みの名前の隣にあるポップアップメニューを使って、「境界あり」、「固定」、「制約なし」のどれかを選択してください。重みを特定の値に固定したり、重みに境界を設定したりするには、テキストボックスに正または負の実数を指定します。
図18.11 カスタムの平滑化重み
図18.11の例では、「水準」の重み(a)が0.3の値に固定され、「トレンド」の重み(g)に対する境界が0.1と0.8に設定されています。そのため、「水準」の重みは0.3に固定されて、「トレンド」の重みは0.1~0.8の範囲内になります。重みを特定の値に固定すれば、その特定の重みのモデルの予測値や残差を計算できます。