ここでは、「工程能力分析」レポートの統計量の計算方法について説明します。
いくつかのオプションがありますが、正規分布に基づく工程能力分析では、基本的に同じ計算式が使用されています。オプションは、シグマ(s)の計算方法が異なるだけです。
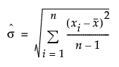
σ(全データから推定)
全体シグマを使用します。このオプションはPpk統計量に使用され、次式によりシグマが算出されます。

メモ: 「長期シグマ(全データから推定)」レポートでは、他のシグマのレポートと同様に、工程能力指数のラベルに「Cp」がデフォルトで使用されています。このレポートで「PPK」のラベルを使用するには、[ファイル]>[環境設定]>[プラットフォーム]>[一変量の分布]>[Ppk工程能力ラベル設定]を選択します。
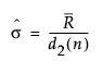
管理図シグマ
管理図の設定値により決定されるシグマを使用します。
– シグマの値を、管理図起動ウィンドウにある[統計量の指定]ボタンを用いて指定すると、指定した値が工程能力指数の計算に使用されます。
– [移動範囲(平均)]オプションを使用するIR管理図では、シグマの値は次のように計算されます。

ここで
は、移動範囲の平均
d2(n)は、母標準偏差が1であるn個の独立した正規分布に従う確率変数の範囲の期待値、ここでnは移動範囲の区間オプションに指定された値。
– [メディアン移動範囲]オプションを使用するIR管理図では、シグマの値は次のように計算されます。

ここで
MMRは、非欠測値の移動範囲のメディアン
d4(n)は、母標準偏差が1であるn個の独立した正規分布に従う確率変数の範囲の中央値、ここでnは移動範囲の区間オプションの値。
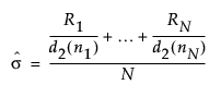
– [R]オプションを使用するXBar管理図では、シグマの値は次のように計算されます。

ここで
Ri = i番目のサブグループの範囲
ni = i番目のサブグループの標本サイズ
d2(ni)は、母標準偏差が1であるni個の独立した正規分布に従う確率変数の範囲の期待値
Nは、ni ≥ 2 であるサブグループの数
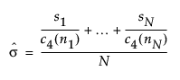
– [S]オプションを使用するXBar管理図では、シグマの値は次のように計算されます。

ここで
ni = i番目のサブグループの標本サイズ
c4(ni)は、母標準偏差が1であるni個の独立した正規分布に従う確率変数の標準偏差の期待値
Nは、ni ≥ 2 であるサブグループの数
siは、i番目のサブグループの標本の標準偏差
ここでは、正規分布に従うデータの工程能力指数の計算方法について具体的に説明します。
平均mと標準偏差sを持つ工程において、母集団の工程能力指数は次のように定義されます。
Cp = 
Cpl = 
Cpu = 
Cpk = 
Cpm = 
ここで
LSLは、下限仕様限界
USLは、上限仕様限界
Tは、目標値
標本に基づく工程能力指数の場合、パラメータは推定値で置き換えられます。sの推定は、「工程能力分析」ウィンドウで指定した方法で行われます。変動の統計量を参照してください。
下側仕様限界と上側仕様限界のいずれかを指定しなかった場合、その仕様限界を含む工程能力指数は欠測値になります。
ヒント: 通常、工程能力指数は1.33以上であるべきと考えられています。工程能力指数が1.33である場合、正規分布に従っているならば、10万個の製品のうち不適合品となる個数の期待値は、約6個です。
メモ: 工程能力指数の信頼区間は、「長期シグマ(全データから推定)」レポートにのみ表示されます。
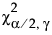
Cpの100(1 - a)%の信頼区間は、次のように計算されます。

ここで
は、Cpの推定値
は、自由度n - 1のカイ2乗分布の(a/2)番目の分位点
nは、標本サイズ(観測値の個数)
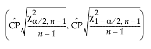
Cpkの100(1 - a)%信頼区間は、次のように計算されます。

ここで
は、Cpkの推定値
は、標準正規分布の(1 - a/2)番目の分位点
nは、標本サイズ(観測値の個数)
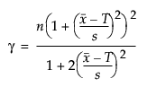
CPMの100(1 - a)%の信頼区間は、次のように計算されます。

ここで
は、CPMの推定値
は、自由度gのカイ2乗分布の(a/2)番目の分位点

nは、標本サイズ(観測値の個数)
は、標本平均
Tは、目標値
sは、全データから推定した長期シグマ
メモ: CPMの信頼区間は、目標値が下側仕様限界と上側仕様限界の中間にある場合のみ計算されます。
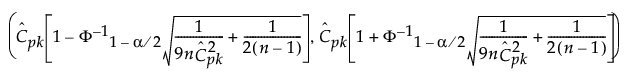
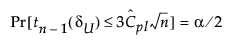
CPLとCPUの下側信頼限界と上側信頼限界は、Chou et al.(1990)の方法を使用して計算されます。
CPLの100(1 - a)%信頼限界(CPLLおよびCPLU)は、次の式を満たします。
この式で、
ここで
ここで
tn-1(d)は、自由度がn - 1、非心度パラメータがdの非心t分布に従う確率変数
は、Cplの推定値
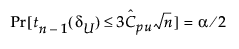
CPUの100(1 - a)%信頼限界(CPULおよびCPUU)は、次の式を満たします。
この式で、
ここで
ここで
tn-1(d)は、自由度がn - 1、非心度パラメータがdの非心t分布に従う確率変数
は、Cpuの推定値
この節では、非正規分布データの工程能力指数の計算方法について説明します。工程能力指数を一般化した式は、次のように定義されます。
Cp = 
Cpk = 
Cpm = 
Cpl = 
Cpu = 
ここで
LSLは、下限仕様限界
USLは、上限仕様限界
Tは、目標値
Pαは、あてはめた分布の分位点
Cpmの計算に含まれるmとsには、あてはめた分布の平均推定値と標準偏差推定値(分散推定値の平方根)が使われます。「パラメータ推定値」レポートのパラメータと、あてはめた分布の平均推定値および標準偏差推定値の関係については、『基本的な統計分析』の連続分布のあてはめおよび離散分布のあてはめを参照してください。
シグマクオリティの値は、各比率(LSL未満、USL超え、限界外の合計数)に対し、次のように計算されます。

ここで
Pctは、「実測値%」列の値
は、標準正規分布の、累積確率(1 - Pct/100)における分位点
メモ: 「LSL未満」と「USL越え」の「実測値%」列の値を合計したものは、「限界外の合計数」の値と等しくなります。ただし、「LSL未満」と「USL越え」の「シグマクオリティ」列の値を合計しても、「限界外の合計数」のシグマクオリティにはなりません。これは、シグマクオリティが正規分布の分位点から求められ、加法的でないためです。
ベンチマークZは、正規分析に基づく工程能力分析でのみ使用できます。ベンチマークZの値は、次のように計算されます。
Z Bench = 
Z LSL =
= 3 * Cpl
Z USL =
= 3 * Cpu
ここで
LSLは、下限仕様限界
USLは、上限仕様限界
mは、標本平均
sは、標本標準偏差
F-11 - P(LSL) - P(USL)は、標準正規分布の(1 - P(LSL) -P(USL))番目の分位点
P(LSL) = Prob(X < LSL) = 1 - F(Z LSL)
P(USL) = Prob(X > USL) = 1 - F(Z USL)
Fは、標準正規分布の累積分布関数。