ここでは、「Crow-AMSAA」レポートに表示されるパラメータ推定値とプロファイルの詳細について説明します。
[Crow AMSAA 修正最尤法]オプションを例外として、lとbの推定値は最尤推定値であり、以下のようにして計算されます。Crow-AMSAAモデルの尤度は、Meeker and Escobar(1998)で説明されている非同次Poisson過程モデルの尤度から導出できます。なお、JMPでは、最適化の反復計算を行うにあたって、param1 = log(l)とparam2 = log(b)というパラメータ変換を施しています。このような変換を行うのは、無制約の最適化問題にするためです(ここで、「無制約」とは、最適化するパラメータの範囲が、-∞から+∞になっていることを指します)。対数尤度を最適化すると、param1とparam2の最尤推定値が得られます。
lとbの標準誤差はFisherの情報量行列から算出されます。param1とparam2の信頼区間は、Wald統計量を使用し、最尤推定値の漸近分布に基づいて計算されます。最後に、それらの結果を指数変換して、元のスケールにおける推定値と信頼区間が求められます。
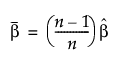
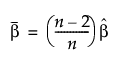
[Crow-AMSAA 修正最尤法]オプションの場合、bの推定値はバイアスに対して修正されます。bのバイアス修正済み推定値の式は、試験が定数打ち切りであるか、定時打ち切りであるかによって異なります。
bの通常の最尤推定値を
で表し、nを標本サイズ、Tを全体の試験時間とします。
bのバイアス修正済み推定値(修正最尤推定値)を
とします。次式により、修正最尤推定値は計算されます。
、定数打ち切り試験の場合
、定時打ち切り試験の場合
の修正済み最尤推定値である
は、次式のように、最尤法の計算式に従って計算されますが、その式において修正済みのβを代入します。

パラメータの共分散行列はFisherの情報量行列を使用して推定されます。(Crow-AMSAAモデルのパラメータ推定値を参照)。ただし、その式において、lとbのバイアス修正済みの推定値が最尤推定値の代わりに用いられます。プロット内の信頼区間を示す帯や、レポート内の信頼区間はすべて、この手順に基づいています。
Crow-AMSAAの場合、プロファイルなどで表示されている平均故障間隔・強度・累積イベント数の推定値は、理論式におけるパラメータlとbに、それらの最尤推定値を代入して求めています。ただし、[Crow-AMSAA 修正最尤法]オプションの場合は、バイアス修正済みの最尤推定値が使用されます。また、信頼区間は、該当パラメータを対数変換したものに対し、デルタ法を適用して求めています。
累積イベント数関数を例にとって説明します。Crow-AMSAAモデルにおいて、時間tにおける累積イベント数の理論式は、N(t) = ltβです。両辺を対数変換すると、log(N(t)) = log(l) + blog(t)です。この式のパラメータlとbに、それぞれの最尤推定値(または修正済みの最尤推定値)を代入すると、log(N(t))の推定値が得られます。また、この式にデルタ法を適用することで、log(N(t))の分散推定値が求められます。そうして得られた分散推定値から、Wald法によって漸近的な信頼区間が計算できます。最後に、この信頼区間を指数変換すれば、時間tにおける累積イベント数の信頼区間が求められます。