[1標本平均]の計算は、以下のような仮説検定に対する、従来の両側t検定に対するものです。

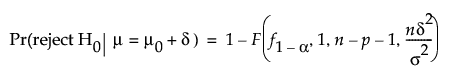
検出力は次のように計算されます。

この式で、
αは有意水準。
nは標本サイズ。
pは追加パラメータの個数。
δは検出する差。
f1-αは、F(1, n- p -1)分布の累積確率(1 - α)における分位点。
F(x, df1, df2, nc)は、自由度df1およびdf2と非心度パラメータncを持つF分布のxにおける累積確率。
検出力を求めるときにはF分布の累積分布関数が使われていますが、δおよびnを求めるときには数値的なアルゴリズムが使われています。
JMPにおける計算についての詳細は、Barker(2011, Section 2.1)を参照してください。