標準偏差の検出力計算に対してJMPで使用されている式は、[対立仮説の方向]オプションの設定によって異なります。
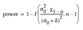
[対立仮説の方向]を[大きい]に設定した場合、検出力は次のように求められます。


ここで
σ0は母標準偏差の仮説値(母標準偏差の帰無仮説での値)
σは母標準偏差の対立仮説での値
Χpは、Χn-12分布の累積確率(1 - p)における分位点
F(x, n-1)は、Χn-12 分布のxにおける累積確率。
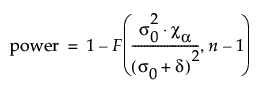
[対立仮説の方向]を[小さい]に設定した場合、検出力は次のように求められます。


ここで
σ0は母標準偏差の仮説値(母標準偏差の帰無仮説での値)
σは母標準偏差の対立仮説での値
Χpは、Χn-12分布の累積確率(1 - p)における分位点
F(x, n-1)は、Χn-12 分布のxにおける累積確率。
検出力を求めるときにはF分布の累積分布関数が使われていますが、nを求めるときには数値的なアルゴリズムが使われています。
JMPにおける計算についての詳細は、Barker(2011, Section 2.4)を参照してください。