[信頼性実証]は、尺度パラメータσを持つ、選択された故障時間分布に基づいて計算を行います。信頼性の標準(時間tおよび位置μにおける生存確率)は、次のように定義されます。

ここで、μは、以下を使って求められます。

標本サイズと試験期間を計算するために、時間tにおける生存確率に対する仮説検定を用います。

ここで、p*は、時間t*における標準生存確率です。
この仮説を、有意水準αで検定します。そこで、次の等式を満たすような試験を求めることになります。
α = Pr(k or few failures | H0 true)
この検定は、n個の独立したユニットで構成され、故障数は(n, p)の二項分布に従います。ここで、pは、ユニットが時間tに達する前に故障する確率です。このような式から、αは、tとnの関数として表現できます。

ここで、μ*とσ*は、仮定された信頼性の標準に基づきます。
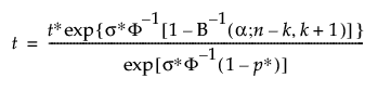
二項分布およびベータ分布の属性により、以下を使ってtを求めることができます。

nについては、Brentの方法を使って次式の根を求めます。

ここで
B−1(α; n − k, k + 1) は Beta(n − k; k + 1) 分布のα分位点
Φ()は、仮定された故障時間分布の累積分布関数です。
JMPにおける計算についての詳細は、Barker(2011, Section 5)を参照してください。