2標本割合の計算では、1標本割合の場合と同様に正確な方法が使われています。両側検定における帰無仮説と対立仮説は以下のとおりです。

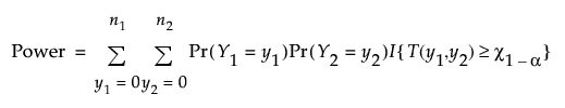
このような両側検定に対して、検出力は次のように計算されます。

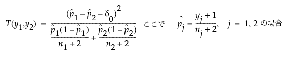
ここで、調整済みWald検定の検定統計量は次のように定義されます。

および

そしてχ1-αは、χ2分布の累積確率(1 - α)における分位点です。
niまたはδ0に対して、閉じた解がないため、数値的なアルゴリズムを用いてniおよびδ0が求められます。
調整済みWald検定については、Agresti and Coull(1998)を参照してください。JMPにおける計算についての詳細は、Barker(2011, Section 3.3)を参照してください。