図7.22は、連続尺度の8つの因子に対する決定的スクリーニング計画です。なお、偽因子(fake factor)を用いて、4回の実験を追加しています。次の点に注意してください。
• 決定的スクリーニング計画では2行が一組となっており、一方の行が別の行の折り重ね(foldover)になっています。つまり、偶数行が、その1つ前の行における符号を逆にしたものになっています。決定的スクリーニング計画のこのような構造によって、2因子間交互作用と主効果とはすべて直交するようになります。
• 3つの実験において、各因子には中間値が使われます。このため、すべての因子に関して、2乗効果が推定可能になります。
• 17~20行目の実験は、偽因子(fake factors)を用いて、元の決定的スクリーニング計画に追加したものです。
• また、最後の行に中心点を追加すると、切片、すべての主効果、および、すべての2乗効果を含んだモデルが推定可能となります。
このような構造が、連続尺度の因子に対する決定的スクリーニング計画の標準的な構造です。
図7.22 8つの連続変数の決定的スクリーニング計画
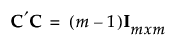
JMPの決定的スクリーニング計画は、カンファレンス行列(Xiao et al., 2012)を使用して作成されます。カンファレンス行列は、m x mの行列Cです(mは偶数)。行列Cは、対角要素が0、非対角要素が1または-1で構成されている行列のうち、次のような関係を満たしている行列です。

メモ: 特定の偶数mについては、カンファレンス行列が存在するかどうかわかっていません。
ここでは、因子の数kが5以上であるとします。k ≤ 4の場合については、因子数が4つ以下の場合の決定的スクリーニング計画を参照してください。
k個の因子がすべて連続尺度である場合について考えます。以下の説明では、カンファレンス行列が存在するものとして話を進めます。
• kが偶数の場合、k x kのカンファレンス行列に基づいて計画を作成します。元のカンファレンス行列に、その符号を逆にした行列–Cを追加します。さらに、計画に中心点を追加することにより、切片、主効果、2乗の効果を含んだモデルが推定可能となります。kが偶数の場合、このように計画を作成すると、決定的スクリーニング計画の最小の実験回数は2k + 1となります。
• kが奇数の場合、(k+1) x (k+1)のカンファレンス行列を使用し、最後の列を削除します。そして、中心点を追加します。kが奇数の場合、このように計画を作成すると、スクリーニング計画の最小の実験回数は2k + 3となります。
因子の一部が2水準のカテゴリカルな因子である場合も、同様の方法で計画を作成します。以下の説明でも、カンファレンス行列が存在するものとして話を進めます。2水準のカテゴリカルな因子を含む決定的スクリーニング計画については、Jones and Nachtsheim(2013)を参照してください。
• 中心点での実験を、1つではなく2つ追加します。この中心点での2つの実験は、すべての連続尺度の因子を中間値に設定したものです。
• k個の因子があり、kが偶数の場合、全体の実験回数は2k + 2となります。
• kが奇数の場合、全体の実験回数は2k + 4となります。
カンファレンス行列が存在しないmの場合は、次に大きい偶数のカンファレンス行列に基づいて決定的スクリーニング計画が作成されます。その結果、全体の実験回数は、連続尺度の場合で2k + 3を超えることも、カテゴリカルの場合で2k + 4を超えることもあります。
決定的スクリーニング計画に実験を追加するには、偽因子(fake factor)と呼ばれる架空の因子を用います。計画にf個の疑似因子を追加すると、2f回の実験が追加されます。
実験で実際に調べる因子の個数を、kとしましょう。計画には4回または8回の実験を追加できます。実験を追加するには、まず、k + f個の因子について、カンファレンス行列と実験回数で説明した方法で計画を作成します。そして、最後のf 列を削除します。実験を4回追加するだけでも、モデル選択において非常に効果的です。
上記の方法で実験を追加したときの統計分析については、決定的スクリーニング計画の効果的モデル選択を参照してください。
4因子以下の決定的スクリーニング計画は、5因子の決定的スクリーニング計画に基づいて作成されます。4以下のカンファレンス行列から計画を作成すると、計画が好ましくない性質をもつからです。特に、2次効果の区別が難しくなります。
4因子以下の場合は、まず、5因子の決定的スクリーニング計画が作成され、その後、不要な列が削除されます。そのため、4因子以下のブロックなしの計画では、全体の実験回数が、すべての因子が連続尺度なら13、一部の因子がカテゴリカルなら14となります。