O’Brienの検定では、元の応答変数を変換して、新しい応答変数を作成し、それに対して一元配置分散分析を行います。変換後の応答変数は、そのグループ平均が、元の応答変数のグループごとの不偏分散と等しくなるように作成されます。この変換後の応答変数は、次式で計算されます。

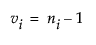
nは、観測値yijkの個数を表します。
Brown-Forsythe検定は、
に対する一元配置分散分析のF検定です。ここで、
はi番目の水準におけるYの中央値です。
Leven検定は、
に対する一元配置分散分析のF検定です。ここで、
はi番目の水準の応答平均です。
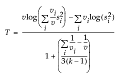
Bartlett検定は、次式により計算されます。
この式で、
および
niはi番目の水準における度数、si2はi番目の水準におけるYの不偏分散です。このBartlett検定の検定統計量は、カイ2乗分布に従います。表中のBartlett検定のF値に出力されている値は、このBartlettのカイ2乗検定統計量を自由度で割ったものです。
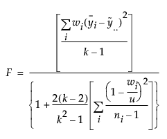
Welchの検定のF値は、次の式で計算されます。
この式で
、
、
niはi番目の水準における度数、
はi番目の水準におけるYの平均、si2はi番目の水準におけるYの不偏分散です。
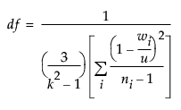
Welch検定の分母自由度は、次の近似式によって計算されます。

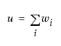
ここで、wi、ni、uはF値の式と同じ定義です。