一部の多変量分析では、共分散行列の逆行列を計算する必要があります。ここでは、特異値分解によって共分散行列の逆行列を計算する方法について説明します。
標準化したデータ行列をXsとし、また、S = Xs′Xsとします。特異値分解された行列は、Sと次のような関係になっています。

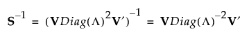
Sがフルランクの場合、Vはp x pの直交行列で、S-1は次のように表されます。

Sがフルランクではない場合、Diag(L)-1は一般化逆行列、Diag(L)+に置き換えられます。これらの逆行列や一般化逆行列は、Diag(L) の対角要素をその逆数に置き換えたものです。これにより、Sの一般化逆行列は次のように定義されます。

この一般化逆行列は、特異値分解だけによって求めることができます。
横長データの線形判別分析における特異値分解の適用については、横長データに対する線形判別法を参照してください。