任意の底をとる対数、組み合わせ数、ベータ関数、ガンマ関数などの超越関数として、次のようなものが用意されています。 構文の詳細については、『スクリプトガイド』の超越関数を参照してください。
定数eを指定した数だけ累乗した値を戻します。Exp(1) = eとなります。
Exp(x) - 1を戻します。xが非常に小さい場合に、より正確な計算結果を戻します。
xの自然対数を戻します。
自然対数(底e)を戻します。デフォルトの底を変更するには、引数を選択してから、カンマを入力するか、または計算式エディタのキーパッドで挿入ボタンをクリックします。すると、底が表示されて編集可能になります。Logの引数は、どのような数式でもかまいません。Log(e)は1、Log(32, 2)は5になります。Log10関数は、底が10の対数だけを計算します。
Log(1+x)を戻します。xが非常に小さい場合に、より正確な計算結果を戻します。
関数1 / (1 + ex)を計算します。xには、数値タイプの列、変数、または式を指定できます。
関数1 / (1+e-x)を効率よく計算します。この関数は、「Squish関数」または「Logistic関数(ロジスティック関数)」とも呼ばれます。xは、数値列、変数または式です。
引数の累乗根を計算します。Rootの指数はデフォルトで2に設定されています。指数を変更するには、指数の引数を強調表示し、値を入力します。
1から指定した引数までのすべての整数の積(引数の階乗)を戻します。たとえば、Factorial(5)は120です。
n個のものから一度にk個とった場合の組み合わせの数を戻します(nCk)。この関数は、階乗を使った通常の式で表せば、n! / (k!(n – k)!)です。たとえば、NChooseK(5,2)は10になります。
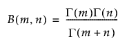
ベータ関数の値を戻します。ベータ関数は2パラメータで、ガンマ関数と次のような関係があります。

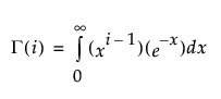
ガンマ関数の値を戻します。ガンマ関数は、通常、Γ(i)と表記され、次のように定義されます。

Gamma関数に引数を1つしか指定しなかった場合は、積分の上限を無限大とします。オプションの第2引数を指定した場合、積分の上限を、第2引数の値とします。ガンマ関数には、次のような関係があります。
• α > 1の場合は、Γ(α) = (α-1) • Γ(α–1)
• nが正の整数である場合は、Γ(n) = (n-1)!
• Γ(0.5) = πの平方根
ガンマ関数の関数値の自然対数を戻します。Log関数とGamma関数を一緒に使っても、同じ結果が得られます。ただし、LGamma関数だけで計算したほうが、Log関数とGamma関数を一緒に使って計算するよりも、効率的です。NChooseK関数の計算には、裏ではLGamma関数が使用されています。NChooseK関数の結果は、LGamma関数を内部的に使っているので、常に正確に整数であるとは限りませんが、結果が整数に近い場合はFloor関数によって丸められています。
Gamma関数の対数の導関数です。
Digamma関数の導関数、すなわちGamma関数の対数の2次微分です。
Arrhenius式において、活性化エネルギーに乗じられる項です。

Arrhenius関数の逆関数です。

ロジット変換を引数に適用します。ロジット変換は次のように定義されます。

引数としてパーセントを取るロジット関数です。

戻り値の単位がパーセントであるロジスティック関数です。

「モデルのあてはめ」で使用される、配合計画モデルの特殊な効果です。Scheffe Cubic (X1, X2)は、
X1*X2*(X1-X2)と同じです。
Johnson Sb逆変換。引数が正規分布の場合、戻り値はJohnson Sb分布です。
Johnson Sb変換。上下に有界なJohnson Sb分布の変数を、平均0、分散1の正規分布に変換します。
標準正規分布の変数をSHASH分布の変数に変換する。
SHASH分布の変数を標準正規分布の変数に変換する。
Johnson Sl逆変換。引数が正規分布の場合、戻り値はJohnson Sl分布です。
Johnson Sl変換。上もしくは下に有界なJohnson Sl分布の変数を、平均0、分散1の正規分布に変換します。
Johnson Su逆変換。引数が正規分布の場合、戻り値はJohnson Su分布です。
Johnson Su変換。Johnson Su分布の変数を、平均0、分散1の正規分布に変換します。