プロファイル機能 > プロファイル > 予測プロファイルの別例 > 複数の応答変数に対する変数重要度の例
公開日: 09/19/2023

複数の応答変数に対する変数重要度の例

この例では、因子が直交する実験計画から得られたデータについて、独立した入力に基づく変数重要度を算出します。これは、予測プロファイルで、変数重要度を求める乱数シミュレーション法として[独立な一様分布の入力]を選択することによって行われます。一般的に、この[独立な一様分布の入力]の指定は、因子の値が、計画で定義したものだけではなく、計画領域の範囲で自由に調整できる場合に用います。

1. [ヘルプ]>[サンプルデータフォルダ]を選択し、「Tiretread.jmp」を開きます。

2. 「4応答の応答曲面モデル」スクリプトを実行します。

レポートの末尾に「予測プロファイル」が表示されます。

3. 「予測プロファイル」の赤い三角ボタンをクリックし、[変数重要度の評価]>[独立な一様分布の入力]を選択します。

Figure 3.29のような「要約レポート」が作成されます。変数重要度は無作為抽出の標本に基づいて計算されるため、実際の結果は、下図に示されているものとは若干異なる場合があります。

レポートには、4つの応答ごとに1つずつ表が表示されます。「全体」表には、変数重要度の4応答間の平均が表示されます。「予測プロファイル」の因子(Figure 3.30)は、「全体」表の「全効果」に示される重要度の値に従って並べ替えられます。

図3.29 4応答の「要約レポート」 

4応答の「要約レポート」

4. 「変数重要度:独立な一様分布の入力」の赤い三角ボタンをクリックし、[プロファイルの色付け]を選択します。

プロファイルの各パネルが色分けされ、「全効果」の重要度が赤から白のグラデーションで示されます。たとえば、重要度が一番高い因子は、「硬度」に対する「シラン」であると簡単に見分けることができます。

図3.30 4応答の予測プロファイル 

4応答の予測プロファイル

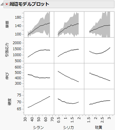
「周辺モデルプロット」レポートは、因子ごとに、それ以外の2つの因子が一様分布に従うとした場合の、応答の周辺平均がプロットされています。

図3.31 4応答の「周辺モデルプロット」 

4応答の「周辺モデルプロット」

より詳細な情報が必要な場合や、質問があるときは、JMPユーザーコミュニティで答えを見つけましょう (community.jmp.com).