JMPで作成される主効果スクリーニング計画は、釣合い(バランス)が良くなるように、つまり直交計画に近づくように、カイ2乗効率を基準として作成されます。カイ2乗効率を参照してください。この殆直交計画は、モデルが主効果だけの場合に好ましい統計的性質を持ちます。
カテゴリカルや離散数値の因子がある場合や、実験回数が標準的ではない場合には、主効果が直交しているスクリーニング計画を作成できないことがあります。しかし、そのような場合でも、主効果スクリーニング計画(main effects screening design)は作成できます。Lekivetz et al.(2015)を参照してください。
ここで使われているアルゴリズムは、作成された計画がなるべく強度2の直交配列になるように試みます。強度2の直交配列は、交互作用を無視できるという仮定の下で、すべての主効果を推定でき、かつ、主効果は直交しています。強度2の直交配列は、主効果だけのスクリーニング計画に最適です。強度2の直交配列には、レゾリューションIIIの一部実施要因計画や、Plackett-Burman計画などがあります。
アルゴリズムは、因子の水準のすべてのペアを検討します。そして、それらのペアが可能な限り同じ回数だけ出現するように、均等に配置しようとします。ある列数までは均等な配列が生成されたなら、その配列に対して新しい列をランダムに追加します。新しい列を追加したときのペアが均等かどうかを、カイ2乗効率により判断します。アルゴリズムは、カイ2乗効率が最小となるように、新しい列における水準を入れ替えます。
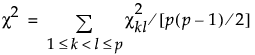
実験回数がnで、p個の因子を持つ計画があったとします。なお、各因子は、計画行列の各列に対応しています。
• 因子κとlにおける水準をそれぞれa = 0, 1, …, sk − 1およびb = 0, 1, …, sl − 1とします。
• 列kと列lのペアにおいて、水準の組み合わせ(a,b)が出現する回数をnkl(a,b)とします。
列kと列lのペアにおける直交性からのズレが、次式によって計算されます。

計画全体における直交性からのズレの平均が、次式によって計算されます。

また、χ2の最大値(
)が計算されます。計画のカイ2乗効率は、次のように定義されます。

カイ2乗効率は、バランスの取れた計画(釣合い型計画)であるとき、つまりχ2が0であるときに100%となります。