「配合」列プロパティは、列が配合成分(配合実験における因子など)であることを表します。配合成分の合計は、必ず一定の値になります。その点で配合成分ではない因子とは異なります。「配合」列プロパティは、2つの役目を果たします。
• その列が配合成分であることを示す。
[分析]>[モデルのあてはめ]を選択し、「配合」列プロパティを持つ列をモデルに効果として追加した場合、自動的に切片のないモデルが作成されます。
• 配合成分のコード変換を定義する。
配合成分のコード変換は、配合因子ではない因子のコード変換とは異なります。しかし、配合因子ではない因子と同様に、配合因子をコード変換することでパラメータ推定値の解釈がしやすくなります。擬似成分のコード変換を参照してください。
Figure A.19は、「Design Experiment」フォルダにある「Vinyl Data.jmp」データテーブルの、因子「m1」に設定されている「配合」列プロパティのパネルです。
図A.19 「配合」列プロパティのパネル
「配合」列プロパティのパネルでは、次のような項目を指定します。
下側限界
擬似成分のコード変換に使用される下限値を指定します。「実験計画(DOE)」のプラットフォームにて計画を作成した場合には、「下側限界」には因子の最小設定値が設定されます。データテーブルにて「配合」列プロパティを持たない列に「配合」列プロパティを新たに適用した場合には、「下側限界」にはデータの最小値が設定されます。この値は、必要に応じて変更できます。
上側限界
擬似成分のコード変換に使用される上限値を指定します。「実験計画(DOE)」プラットフォームにて計画を作成した場合には、「上側限界」には因子の最大設定値が設定されます。データテーブルにて「配合」列プロパティを持たない列に「配合」列プロパティを新たに適用した場合には、この「上側限界」にはデータの最大値が設定されます。この値は、必要に応じて変更できます。
項の合計
配合成分の和を指定します。「配合」列プロパティを持たない列に「配合」列プロパティを新たに適用すると、「項の合計」はデフォルトでは1に設定されます。
最小擬似成分のコード変換
「下側限界」が0になるようにデータ値を変換します。
最大擬似成分のコード変換
「上側限界」が0になるようにデータ値を変換します。
「擬似成分」とは、元の成分を1次式で変換したものを指します。Sを、配合成分の和とします。i個の列であるX1, X2, …, Xqに「配合」列プロパティが割り当てられているとしましょう。これらの列と、これらの列から成る効果を「モデルのあてはめ」ウィンドウで効果として追加する場合を考えてみます。
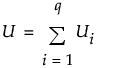
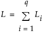
次のように定義します。
ここで、Liは、Xiの下側限界
ここで、Uiは、Xiの上側限界
xiを、Xiから計算される擬似成分とします。最小擬似成分xiは、次のように定義されます。

最大擬似成分xiは、次のように定義されます。

[最小擬似成分のコード変換]と[最大擬似成分のコード変換]の両方を選択した場合、「モデルのあてはめ」プラットフォームは、(S – L) < (U – S)なら最小擬似成分のコード変換、そうでない場合は最大擬似成分のコード変換を行います。
「モデルのあてはめ」では、擬似成分を使って配合因子を変換してからパラメータ推定値が計算されます。これにより、パラメータ推定値が解釈しやすくなります。レポートのうち、パラメータ推定値は、コード変換した配合因子に対するパラメータ推定値になっています。その他のレポート(プロファイルなど)では、コード変換していない値が使用されます。