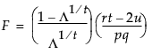
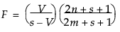
F値と自由度の計算を説明するのに以下の記号を用います。
のランクを、pと記します。
のランクを、qと記します。ここで、行列Lは、
において検定対象となっている効果に関連する要素を特定するための行列です。誤差の自由度をvと記し、pとqの小さい方の値をsと記します。また、
および
と記します。
表F.3は、それぞれの対応する検定統計量から計算した近似F値です。
|
検定 |
近似F |
分子自由度
|
分母自由度
|
|---|---|---|---|
|
WilksのΛ |
|
|
|
|
Pillaiのトレース |
|
|
|
|
Hotelling-Lawleyのトレース |
|
|
|
|
Royの最大根 |
|
|
|