公開日: 09/19/2023

「曲線のあてはめ」モデルの統計的詳細

Table 14.1に、「曲線のあてはめ」の赤い三角ボタンのメニューで用意されているモデルの計算式を示します。

表14.1 「曲線のあてはめ」のモデル計算式

モデル

計算式

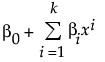
多項式

ここに画像を表示

ここに式を表示

kは多項式の次数です。これらのモデルは、「モデルのあてはめ」プラットフォームや「二変量の関係」プラットフォームでもあてはめることができます。

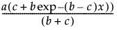
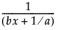
べき乗モデル

ここに画像を表示

ここに式を表示

a = 切片

b = 傾き

c = べき乗

応答変数とxの値が負でない場合にのみ使用可能です。

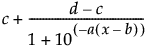
ロジスティック 2P

ここに画像を表示

ここに式を表示

a = 増加率

b = 変曲点

応答変数のすべての値が0~1である場合にのみ使用可能です。

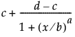
ロジスティック 3P

ここに画像を表示

ここに式を表示

a = 増加率

b = 変曲点

c = 漸近線

ロジスティック 4P

ここに画像を表示

ここに式を表示

a = 増加率

b = 変曲点

c = 下側漸近線

d = 上側漸近線

ロジスティック 4P Rodbard

ここに画像を表示

ここに式を表示

a = 増加率

b = 変曲点

c = 下側漸近線

d = 上側漸近線

xの値が正の場合にのみ使用可能です。

ロジスティック 4P Hill

ここに画像を表示

ここに式を表示

a = 増加率

b = 変曲点

c = 下側漸近線

d = 上側漸近線

ロジスティック 5P

ここに画像を表示

ここに式を表示

a = 増加率

b = 変曲点

c = 漸近線1

d = 漸近線2

f = べき乗

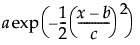
プロビット 2P

ここに画像を表示

ここに式を表示

a = 増加率

b = 変曲点

F = 正規分布累積確率

応答変数のすべての値が0~1である場合にのみ使用可能です。

プロビット3P

ここに画像を表示

ここに式を表示

a = 増加率

b = 変曲点

c = 漸近線

F = 正規分布累積確率

ゼロの位置には漸近線もあります。

プロビット 4P

ここに画像を表示

ここに式を表示

a = 増加率

b = 変曲点

c = 下側漸近線

d = 上側漸近線

F = 正規分布累積確率

Gompertz 3P

ここに画像を表示

ここに式を表示

a = 漸近線

b = 増加率

c = 変曲点

Gompertz 4P

ここに画像を表示

ここに式を表示

a = 下側漸近線

b = 上側漸近線

c = 増加率

d = 変曲点

Weibull成長

ここに画像を表示

ここに式を表示

a = 上方漸近線

b = 増加率

c = 変曲点

応答変数とxの値が負でない場合にのみ使用可能です。

指数 2P

ここに画像を表示

ここに式を表示

a = スケール

b = 増加率

指数 3P

ここに画像を表示

ここに式を表示

a = 漸近線

b = スケール

c = 増加率

双指数 4P

ここに画像を表示

ここに式を表示

a = スケール1

b = 減衰率1

c = スケール2

d = 減衰率2

応答変数の値が正の場合にのみ使用可能です。

双指数 5P

ここに画像を表示

ここに式を表示

a = 漸近線

b = スケール1

c = 減衰率1

d = スケール2

f = 減衰率2

単分子成長

ここに画像を表示

ここに式を表示

a = 漸近線

b = スケール

c = 増加率

ハイブリッド指数

ここに画像を表示

ここに式を表示

a = 最大値

b = スケール

c = 比率

d = べき乗

応答変数とxの値が負でない場合にのみ使用可能です。

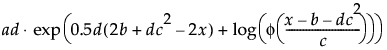
細胞成長 4P

ここに画像を表示

ここに式を表示

a = 死亡率dがゼロの場合のピーク値

b = 時間ゼロにおける応答

c = 細胞分裂率

d = 細胞死亡率

応答変数の値が正で、かつxの値が負でない場合にのみ使用可能です。

Gauss型ピーク

ここに画像を表示

ここに式を表示

a = ピーク値

b = 臨界点

c = 増加率

ExGaussian型ピーク
(指数修正Gauss型ピーク)

ここに画像を表示

ここに式を表示

a = AUC(曲線の下の面積)

b = 位置

c = スケール

d = Lambda

f = 標準正規分布の確率密度関数

Lorentz型ピーク

ここに画像を表示

ここに式を表示

a = ピーク値

b = 増加率

c = 臨界点

1コンパートメント 経口投与

ここに画像を表示

ここに画像を表示

ここに式を表示

a = AUC(曲線下面積)

b = 消失速度

c = 吸収速度

応答変数の値とxの値がすべて正の場合にのみ使用可能です。

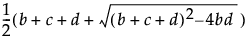
2コンパートメント 急速静注

ここに画像を表示

ここに画像を表示

ここに式を表示

a = ここに式を表示

b = ここに式を表示

a = 初期濃度

b = 移行速度 流入

c = 移行速度 流出

d = 消失速度

応答変数の値とxの値がすべて正の場合にのみ使用可能です。

Michaelis-Menten

ここに画像を表示

ここに式を表示

a = 最大速度

b = Michaelis定数

応答変数の値とxの値がすべて正の場合にのみ使用可能です。

逆Inverse Michaelis-Menten

ここに画像を表示

ここに式を表示

a = 最大速度

b = Michaelis定数

応答変数の値とxの値がすべて正の場合にのみ使用可能です。

1次速度

ここに画像を表示

ここに式を表示

a = 初期値

b = 速度定数

xの値が負でない場合にのみ使用可能です。

可逆1次速度

ここに画像を表示

ここに式を表示

a = 初期値

b = 下限値

c = 速度定数

xの値が負でない場合にのみ使用可能です。

可逆1次速度

ここに画像を表示

ここに式を表示

a = 初期値

b = 正反応速度

c = 逆反応速度

xの値が負でない場合にのみ使用可能です。

2次反応速度

ここに画像を表示

ここに式を表示

a = 初期値

b = 速度定数

xの値が負でない場合にのみ使用可能です。

2コンポーネント2次速度

ここに画像を表示

ここに式を表示

a = 初期値

b = オフセット

c = 速度定数

xの値がいずれも負でない場合にのみ使用可能です。

Antoine

ここに画像を表示

ここに式を表示

a = 成分固有の定数

b = 成分固有の定数

c = 成分固有の定数

応答変数の0より大きい場合にのみ使用可能です。

垂直の漸近線は10aの位置にあります。

水平の漸近線はcの位置にあります。

Higuchi

ここに画像を表示

ここに式を表示

a = 放出定数

xyのすべての値が負でない場合にのみ使用可能です。

ラグを含むHiguchi

ここに画像を表示

ここに式を表示

a = 放出定数

b = タイムラグ

xyのすべての値が負でない場合にのみ使用可能です。

バーストを含むHiguchi

ここに画像を表示

ここに式を表示

a = 放出定数

b = バースト

xyのすべての値が負でない場合にのみ使用可能です。

Hixson-Crowell

ここに画像を表示

ここに式を表示

a = 放出定数

xyのすべての値が負でない場合にのみ使用可能です。

ラグを含むHixson-Crowell

ここに画像を表示

ここに式を表示

a = 放出定数

xyのすべての値が負でない場合にのみ使用可能です。

Korsmeyer-Peppas

ここに画像を表示

ここに式を表示

a = 放出定数

b = 拡散指数

xyのすべての値が負でない場合にのみ使用可能です。

ラグを含むKorsmeyer-Peppas

ここに画像を表示

ここに式を表示

a = 放出定数

b = 拡散指数

c = タイムラグ

xyのすべての値が負でない場合にのみ使用可能です。

バーストを含むKorsmeyer-Peppas

ここに画像を表示

ここに式を表示

a = 放出定数

b = 拡散指数

c = バースト

xyのすべての値が負でない場合にのみ使用可能です。

より詳細な情報が必要な場合や、質問があるときは、JMPユーザーコミュニティで答えを見つけましょう (community.jmp.com).