ここでは、「主成分分析」プラットフォームの外れ値分析を説明します。次の表記を用います。
n = 行数(標本サイズ)
A = 主成分の個数
Xci = 標準化したデータにおけるi番目の行
i番目の行に対するT2値は次のような式で表されます。

ここで PAは最初からA次元までの固有ベクトル、Lは最初からA次元までの固有値を対角要素にもつ行列です。
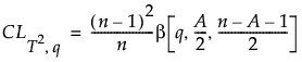
T2プロットの中央値と上側管理限界(UCL)は、次のように計算します。

ここで、

をパラメータとするベータ分布のq分位点
中央値の計算には、q = 0.5を使用します。上側管理限界(UCL)の計算には、q = (1 - a)を使用します。
寄与に関する統計量については、『品質と工程』の寄与の統計的詳細を参照してください。