「タイプ1ゲージ分析」レポートでは、起動ウィンドウで指定された測定列ごとに、タイプ1ゲージ分析の分析結果が求められています。各分析レポートのタイトルには、列の名前が含まれています。デフォルトでは、各「タイプ1ゲージ分析」レポートには、測定値のランチャートと、要約や測定能力に関する統計量の表が含まれています。
• ランチャート
「タイプ1ゲージ分析」レポートにおけるランチャートには、参照値および繰り返し誤差の許容下限と許容上限に水平線が表示されます。繰り返し誤差の許容下限と許容上限の水平線は、基準値(Ref: reference)、許容範囲に対するパーセント(p)、許容範囲(Tol: tolerance)に基づいており、次の式で計算されます。
繰り返し誤差の許容下限と許容上限 = Ref ± 0.5p×Tol
「ランチャート」の赤い三角ボタンのメニューには、次のようなオプションがあります。
許容範囲に対する%の表示
ランチャートにおいて、「Ref ± 0.5 p Tol」の水平線の表示/非表示を切り替えます。許容範囲が指定されているか、または計算された場合、デフォルトでこの水平線は描かれます。
基準値の表示
ランチャートにおいて、基準値(reference)の表示/非表示を切り替えますデフォルトでは、基準値は表示されます。
平均の表示
ランチャートにおいて、平均の表示/非表示を切り替えます。
「タイプ1ゲージ分析」レポートの「要約や測定能力の統計量」表には、測定システムの繰り返し性(併行精度)を判断するための統計量が含まれています。
メモ: 許容範囲(Tol: tolerance)を伴う統計量は、分析前に測定システム分析メタデータで許容範囲が指定されている場合のみ計算されます。
基準値(Ref)
測定システム分析メタデータで定義された基準値(reference value)。
平均
測定値の平均。
標準偏差
測定値の標準偏差(測定値のs)。
K×標準偏差
起動時に定義された「シグマに対する乗数」であるKを、標準偏差を掛け合わせた値。
N
測定値の数。
許容範囲(Tol)
許容範囲(tolerance range)。
Ref - (p/2)*Tol
ランチャートに表示される繰り返し誤差に対する許容下限。
Ref + (p/2)*Tol
ランチャートに表示される繰り返し誤差に対する許容上限。
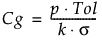
Cg
測定値のばらつきが、指定した許容範囲にどの程度収まっているかを示す指標。大まかな目安として、Cgが1.33以上であると測定システムは「良好」(good)とみなされます。Cgは次の式で計算されます。

Cgk
Cgと似た指標ですが、バイアスを考慮に入れた指標。大まかな目安として、Cgkが1.33以上であると測定システムは「良好」(good)とみなされます。Cgkは次の式で計算されます。

% ばらつき (繰り返し性)
許容範囲に対して、ksが占める割合。この値が大きいほど、測定システムの測定のばらつきが大きいことを示します。この「% ばらつき(繰り返し性)」は、次の式で計算されます。
% ばらつき(繰り返し性) = (ks/Tol) × 100
% ばらつき (繰り返し性とバイアス)
「% ばらつき(繰り返し性)」と似ていますが、バイアスを考慮に入れた指標です。
バイアス
平均値と基準値との差。
バイアス/Tol %
バイアスの割合のことで、次式で計算されます。

分解能(Res)
測定機器の最小の分解能(resolution)。
Res/Tol %
許容範囲に対して分解能が占める割合のことで、次式で計算されます。
