「スクリーニング計画」プラットフォームの主効果スクリーニング計画は、釣合い(バランス)が良くなるように、つまり直交計画に近づくように、カイ2乗効率を基準として作成されます。実験回数がnで、p個の因子を持つ計画があったとします。なお、各因子は、計画行列の各列に対応しています。
• 因子kとlにおける水準をそれぞれa = 0, 1, …, sk-1 −およびb = 0, 1, …, sl-1とします。
• 列kと列lのペアにおいて、水準の組み合わせ(a,b)が出現する回数をnkl(a,b)とします。
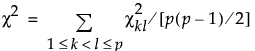
列kと列lのペアにおける直交性からのズレが、次式によって計算されます。

計画全体における直交性からのズレの平均が、次式によって計算されます。

また、χ2の最大値(
)が計算されます。計画のカイ2乗効率は、次のように定義されます。

カイ2乗効率は、バランスの取れた計画(釣合い型計画)であるとき、つまりχ2が0であるときに100%となります。