「応答曲面計画」プラットフォームの「計画の選択」セクションにおいて、計画を選択してください。「応答曲面計画」プラットフォームで用意されている計画は、次の2種類です。
• 中心複合計画
図12.13 4因子の「計画の選択」パネル
Box‐Behnken計画の因子は、水準が3つしかなく、また、因子の領域を表す立方体の頂点には計画点が配置されません。エンジニアリング上の理由で頂点の設定を避ける必要があるときは、この特徴が役に立ちます。しかし、この計画では、中心複合計画と比較して、頂点の近くで予測分散が大きくなります。
中心複合計画(CCD; Central Composite Design)には、中心点と軸点があります。軸点は、1つの因子だけが高い値または低い値(軸の値)で、残りの因子がすべて中間値になっている点です。
中心複合計画の軸点は、指定した因子範囲で定義された超立方体の面外に置かれることもあります。その場合、各因子は5水準となり、そのうち2水準は「因子」セクションで設定した値の範囲外に置かれます。JMPでは、軸点をそのように超立方体の面外に配置することも、超立方体の面上に配置することもできます。
JMPで推奨しているデフォルトの中心点の個数は、計画の種類に基づいています。中心点は、計画の目標と最適化基準に基づきます。中心点の個数は、計画の一様精度または直交性に影響します。
以下の種類の中心複合計画を作成できます。
中心複合計画
応答曲面モデルを定義する典型的な中心複合計画。中心点は2つです。
CCD一様精度
中心付近での予測分散がなるべく均一になるように中心点の個数を決定した計画。多数の中心点を使用します。
CCD直交
2次項と他の項との間の相関が最小になるように中心点の個数と軸点の値を決定した計画。中心点が多く設定されます。
CCD直交ブロック
2次項およびブロック効果と、他の項との間の相関が最小になる計画。中心点が多く設定されます。
いずれかの中心複合計画を選んで[続行]ボタンをクリックすると、軸のスケールに関する情報が表示されます。軸点の値を指定する際、表示されている値が、指定された因子の範囲の半分を掛け合わせるのに使用されます。「軸の値」に「1.0」を指定した場合、作成される計画の軸点は、因子で定義される超立方体の面上に配置されます。次のオプションで軸の値を設定できます。
図12.14 「軸の値」パネル
回転可能
中心点からの距離(尺度化された距離)が等しければ予測値の分散も等しくなっている計画が作成されます。軸点の値は、因子範囲から外れるものになります。軸点は実験数の4乗根に設定されます。
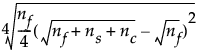
直交
効果間に相関がないため、推定値の標準誤差は最小となり、信頼区間は最短となります。軸点の値は、因子範囲から外れるものになります。軸点は以下の式で求められます。

ここで、
nf = 実験数
ns = 軸点の数
nc = 中心点の数
平面上
軸点を、指定した因子範囲の両端に配置します。因子の水準は3つになります。これは実用的な選択ですが、生成される計画は直交ではなく、回転可能でもありません。
ユーザ定義
「軸の値」テキストボックスに入力した値によって指定された距離に、軸点を配置します。これにより、因子水準に対する実質的な制約に基づいて軸点の値を選択することが可能になります。生成される計画は、直交でも回転可能でもない場合がほとんどです。
範囲を-1から1まで
軸点が因子範囲の両端に位置するように、計画のスケールを変更します。そのスケールに合わせて計画点が縮められます。