「寿命の一変量」プラットフォームの[競合リスク混合分布のあてはめ]オプションでは、競合リスク混合分布をあてはめます。競合リスク混合分布は、いくつかの故障原因のそれぞれを確率分布で表し、それらの原因のいずれかで故障が生じている、と仮定したときの分布です。例として、競合リスク混合のあてはめの例を参照してください。
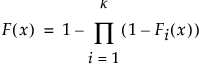
競合リスク混合分布の確率関数F(x)は、次のように定義されます。

ここで、Fi(x)はi番目の潜在的な故障原因(リスク)に対する累積分布関数、kは混合されている分布の個数です。[競合リスク混合分布のあてはめ]オプションは、各成分の分布Fi(x)に基づいて、各観測値がどのクラスターから生成されたものかの判別も行えます。つまり、混合されている確率分布の分布パラメータを推定するだけではなく、ある観測値が特定のクラスターから生成された確率も推定します。
「競合リスク混合分布」レポートの構成は、「混合」レポートと同様です。混合分布のあてはめを参照してください。ただし、「競合リスク混合分布」レポートには「密度の重ね合わせ」プロットは表示されません。代わりに「分布関数プロットの重ね合わせ」というグラフが表示されます。
「分布関数プロットの重ね合わせ」グラフには、混合されている各分布の累積分布関数と、それらの分布を組み合わせた全体の累積分布関数が表示されます。プロットの右側の凡例で、表示する累積分布関数を選択することができます。