交配ごとに次のような統計量が表示されます。
交配
この列には、交配の通し番号(1~交配の総数)が表示されます。
母 性別
この列は、1回目の交配における母親の性別を示します。列名は、[交配]オプションで入力した列名に応じて変わります。この例では、列名が「性別」であったため、「母 性別」と表示されています。常に、「母+[交配]オプションで入力した列名」となります。
父 性別
この列は、1回目の交配における父親の性別を示します。列名は、[交配]オプションで入力した列名に応じて変わります。この例では、列名が「性別」であったため、「父 性別」と表示されています。常に、「父+[交配]オプションで入力した列名」となります。
世代
この列は、その子孫が属する世代を示します。
マイナーアレル頻度(MAF) 平均
この列は、全マーカーでのマイナーアレル頻度(MAF; Minor Allele Frequency)の平均を示します。MAF(Minor Allele Frequency)は、集団における各マーカーのマイナーアレルの観測割合を表します。マーカー座位Mに、アレルM1とM2に対する2アレルマーカーがあるとします。分析対象の個体数を、Nとします。なお、k倍数体(kは偶数)である場合、該当するマーカー座位にk + 1個の異なる遺伝子型があることになります。アレルM1のコピーをi個(i = 0, 1, 2, …, k)、アレルM2のコピーをj個(j = 0, 1, 2, …, k)持つ個体の数を、Nijで表します。アレルM1のコピー数n1は、n1 = 0 × N00 + 1 × N10 + 2 × N20 + … + k × Nk0という和で求められます。アレルM1の観測頻度は、p1 = n1 / (k × n)として表され、アレルM2の頻度は、p2 = 1 - p1として表されます。また、アレルM1のコピーをu個、およびアレルM2のコピーをv個持つ各遺伝子型の観測頻度は、Pij = Nij / nで表されます。
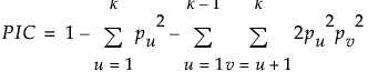
多型情報含有値(PIC) 平均
この列は、全マーカーでの多型情報含有値(PIC; Polymorphism Information Content)の平均を示します。多型情報含有値(Polymorphism Information Content; Botstein et al., 1980; Hilderbrand, Torney, and Wagner, 1992)は、父・母・子の遺伝子型を所与としたときに、子の2つのアレルがそれぞれどちらの親に由来するのかを判別できる確率です。

観測 ヘテロ接合度(HET) 平均
この列は、全マーカーでの観測ヘテロ接合度(HET; heterozygosity)の平均を示します。この「観測 ヘテロ接合度」は、集団におけるヘテロ接合体の観測割合です。

期待 ヘテロ接合度 平均
この列は、全マーカーでの期待ヘテロ接合度(allelic diversity)の平均を示します。この「期待 ヘテロ結合度」は、Hardy-Weinberg平衡が成立する場合の、データセットにおけるヘテロ接合度の期待値です。

予測式 形質 平均
この列は、各世代の各交配における、子孫の形質に対する予測値の平均を示します。
予測式 形質 平均の標準誤差
この列は、各世代の各交配における、子孫の形質に対する予測値の平均の標準誤差を示します。この値は、予想値の平均がどれぐらいばらつくかの指標になります。