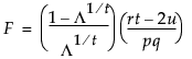
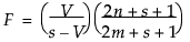
F値と自由度の計算を説明するのに以下の記号を用います。
のランクを、pと記します。
のランクを、qと記します。ここで、行列Lは、
において検定対象となっている効果に関連する要素を
特定するための行列です。誤差の自由度をvと記し、pとqの小さい方の値をsと記します。また、
および
と記します。
表5.3は、それぞれの対応する検定統計量から計算した近似F値です。
|
検定 |
近似F |
分子自由度 |
分母自由度 |
|---|---|---|---|
|
WilksのΛ |
|
|
|
|
Pillaiのトレース |
|
|
|
|
Hotelling-Lawleyのトレース |
|
|
|
|
Royの最大根 |
|
|
|