ここでは、「一変量の分布」プラットフォームの[離散分布のあてはめ]メニューにあるオプションについて説明します。特に指定をしない場合、パラメータ推定値の信頼区間は最尤法を用いて計算されます。最尤法による信頼区間の詳細については、『予測モデルおよび発展的なモデル』の「Statistical Details for Profile Likelihood Confidence Limits」を参照してください。
Poisson分布では、尺度パラメータl > 0が推定されます。
確率関数:
ただし 0 ≤ λ < ∞; x = 0,1,2,...
E(x) = l
Var(x) = l
Poisson分布は離散分布なので、分布関数は整数ごとに変化する階段関数になります。
負の二項分布は、特定の失敗回数に達するまでの成功回数をモデル化するのに便利です。以下のパラメータ表現では、平均パラメータlおよび過分散パラメータsが含まれています。
確率関数: 
E(x) = l
Var(x) = l + sl2
ここで、Γ(·)は、ガンマ関数です。
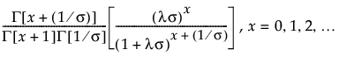
負の二項分布はガンマPoisson分布と同等です。ガンマPoisson分布は、平均mが異なる複数のPoisson分布から、データが生成されているときに役立ちます。
ガンマPoisson分布は、x|mが平均mのPoisson分布に従い、その平均がパラメータ(a,t)のガンマ分布に従うという仮定から導出できます。ガンマPoisson分布には、l = atとs = t+1の2つのパラメータがあります。パラメータsは過分散パラメータです。s > 1の場合は、過大分散、つまり通常のPoisson分布よりも分散が大きくなります。s = 1の場合、xの分布は平均lのPoisson分布になります。
確率関数:
ただし 0 < l; 1 ≤ s; x = 0,1,2,...
E(x) = l
Var(x) = ls
ここで、Γ(·)は、ガンマ関数です。
ガンマPoisson分布は、snegbin = (sgp - 1) / lgpの負の二項分布と同等です。
「Samples/Scripts」フォルダの中の「demoGammaPoisson.jsl」を実行すると、パラメータlとsのガンマPoisson分布とパラメータlのPoisson分布を比較できます。
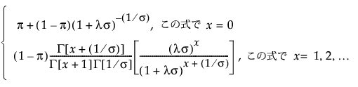
ゼロ強調 Poisson分布には、尺度パラメータ(l > 0)と、ゼロ強調パラメータ(p)があります。
確率関数: 
E(x) = (1 - p)l
Var(x) = l(1 - p)(1 + lp)
ゼロ強調 負の二項分布には、尺度パラメータ(l > 0)、過分散パラメータ(s > 0)、ゼロ強調パラメータ(p)があります。
確率関数: 
E(x) = (1 - p)l
Var(x) = l(1 - p)[1 + l(s + p)]
[二項のあてはめ]オプションでは、一定の標本サイズか、標本サイズを含む列のいずれかを指定することができます。
確率関数:
ただし 0 ≤ p ≤ 1; x = 0,1,2,...,n
E(x) = np
Var(x) = np(1-p)
上の式で、nは、独立した試行の回数を示します。
メモ: 二項分布のパラメータに対する信頼区間の計算には、プロファイル尤度法が使用されています。
ベータ二項分布は、確率πが異なる複数の二項分布から、データが生成されているときに役立ちます。たとえば、複数の製造ラインにおける不適合品の個数などが挙げられます。この場合、不適合となる確率(π)は、製造ラインによって異なると考えられます。
ベータ二項分布は、x|pが二項分布(n,p)に従い、pがベータ分布(a,b)に従うという仮定から導出できます。ベータ二項分布には、p = a/(a+b)とd = 1/(a+b+1)の2つのパラメータがあります。パラメータdは、過分散パラメータです。d > 0の場合は、過大分散、つまり通常の二項分布よりも分散が大きくなります。d < 0の場合は、過小分散です。d = 0の場合、xは二項分布(n,p)に従います。ベータ二項分布は、n ≥ 2の場合にのみ、あてはめることができます。
確率関数: 
ただし
;
; x = 0,1,2,...,n
E(x) = np
Var(x) = np(1-p)[1+(n-1)d]
ここで、Γ(·)は、ガンマ関数です。
前述のとおり、x|πは二項分布(n,π)に従い、πはベータ分布(a,b)に従うと仮定されています。このプラットフォームでは、p = a/(a+b)とd = 1/(a+b+1)のパラメータ推定値が計算されます。aとbの推定値は、次式で計算できます。


ただし、dの推定値が0の場合は、上記の式が使用できません。その場合、ベータ二項分布は、確率pの二項分布となり、
がそのpの推定値となります。
なお、ベータ二項分布におけるパラメータの信頼区間は、プロファイル尤度法によって計算されます。
「Samples/Scripts」フォルダにある「demoBetaBinomial.jsl」を実行すると、nを20に固定しパラメータpを可変として、二項分布と過分散パラメータdのベータ二項分布を比較できます。
[ゼロ強調 二項のあてはめ]オプションでは、一定の標本サイズか、標本サイズを含む列のいずれかを指定することができます。
確率関数: 
E(x) = (1-p)np
Var(x) =(1-p)[np(1-p) + n2p2] - [(1-p)np]2
上の式で、nは、独立した試行の回数を示します。
[ゼロ強調 ベータ二項のあてはめ]オプションでは、一定の標本サイズか、標本サイズを含む列のいずれかを指定することができます。ゼロ強調のベータ二項分布は、n ≥ 2の場合にのみ、あてはめることができます。
確率関数:

E(x) = (1-p)np
Var(x) = (1-p)np[(1-p)(1 + (n-1)d) + np] - [(1-p)np]2
上の式で、nは、独立した試行の回数を示します。