公開日: 04/21/2025

「曲線のあてはめ」モデルの統計的詳細

Table 14.1に、「曲線のあてはめ」の赤い三角ボタンのメニューで用意されているモデルの計算式を示します。

表14.1 「曲線のあてはめ」のモデル計算式

モデル

計算式

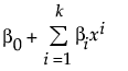
多項式

Image shown here

Equation shown here

kは多項式の次数です。これらのモデルは、「モデルのあてはめ」プラットフォームや「二変量の関係」プラットフォームでもあてはめることができます。

べき乗モデル

Image shown here

Equation shown here

a = 切片

b = 傾き

c = べき乗

応答変数とxの値が負でない場合にのみ使用可能です。

ロジスティック 2P

Image shown here

Equation shown here

a = 増加率

b = 変曲点

応答変数のすべての値が0~1である場合にのみ使用可能です。

ロジスティック 3P

Image shown here

Equation shown here

a = 増加率

b = 変曲点

c = 漸近線

ロジスティック 4P

Image shown here

Equation shown here

a = 増加率

b = 変曲点

c = 下側漸近線

d = 上側漸近線

ロジスティック 4P Rodbard

Image shown here

Equation shown here

a = 増加率

b = 位置

c = 下側漸近線

d = 上側漸近線

xの値が正の場合にのみ使用可能です。

ロジスティック 4P Hill

Image shown here

Equation shown here

a = 増加率

b = 変曲点

c = 下側漸近線

d = 上側漸近線

ロジスティック 5P

Image shown here

Equation shown here

a = 増加率

b = 位置

c = 漸近線1

d = 漸近線2

f = べき乗

プロビット 2P

Image shown here

Equation shown here

a = 増加率

b = 変曲点

F = 正規分布累積確率

応答変数のすべての値が0~1である場合にのみ使用可能です。

プロビット3P

Image shown here

Equation shown here

a = 増加率

b = 変曲点

c = 漸近線

F = 正規分布累積確率

ゼロの位置には漸近線もあります。

プロビット 4P

Image shown here

Equation shown here

a = 増加率

b = 変曲点

c = 下側漸近線

d = 上側漸近線

F = 正規分布累積確率

Gompertz 3P

Image shown here

Equation shown here

a = 漸近線

b = 増加率

c = 変曲点

Gompertz 4P

Image shown here

Equation shown here

a = 下側漸近線

b = 上側漸近線

c = 増加率

d = 変曲点

Weibull成長

Image shown here

Equation shown here

a = 上方漸近線

b = 位置

c = 増加率

応答変数とxの値が負でない場合にのみ使用可能です。

指数 2P

Image shown here

Equation shown here

a = スケール

b = 増加率

指数 3P

Image shown here

Equation shown here

a = 漸近線

b = スケール

c = 増加率

双指数 4P

Image shown here

Equation shown here

a = スケール1

b = 減衰率1

c = スケール2

d = 減衰率2

応答変数の値が正の場合にのみ使用可能です。

双指数 5P

Image shown here

Equation shown here

a = 漸近線

b = スケール1

c = 減衰率1

d = スケール2

f = 減衰率2

単分子成長

Image shown here

Equation shown here

a = 漸近線

b = スケール

c = 増加率

ハイブリッド指数

Image shown here

Equation shown here

a = 最大値

b = スケール

c = 比率

d = べき乗

応答変数とxの値が負でない場合にのみ使用可能です。

細胞成長 4P

Image shown here

Equation shown here

a = 死亡率dがゼロの場合のピーク値

b = 時間ゼロにおける応答

c = 細胞分裂率

d = 細胞死亡率

応答変数の値が正で、かつxの値が負でない場合にのみ使用可能です。

Gauss型ピーク

Image shown here

Equation shown here

a = ピーク値

b = 臨界点

c = 増加率

非対称Gaussピーク

Image shown here

Equation shown here

a = 最適解

b = スケール1

c = スケール2

d = ピーク値

応答変数の値が0以上の数値の場合にのみ使用可能です。

歪正規 ピーク

Image shown here

Equation shown here

a = 位置

b = スケール

c = 歪み具合

d = ピーク値

f = 標準正規分布の確率密度関数

応答変数の値が0以上の数値の場合にのみ使用可能です。

ExGaussian型ピーク
(指数修正Gauss型ピーク)

Image shown here

Equation shown here

a = AUC(曲線の下の面積)

b = 位置

c = スケール

d = Lambda

f = 標準正規分布の確率密度関数

擬似Voigtピーク

Image shown here

Equation shown here

d = 混合パラメータ

l(x) = Lorentz型ピーク関数

l(x) = Gauss型ピーク関数

応答変数の値が0以上の数値の場合にのみ使用可能です。

Pearson VII ピーク

Image shown here

Equation shown here

a = 位置

b = スケール

c = 形状

d = ピーク値

応答変数の値が0以上の数値の場合にのみ使用可能です。

Lorentz型ピーク

Image shown here

Equation shown here

a = ピーク値

b = 増加率

c = 臨界点

1コンパートメント 経口投与

Image shown here

Image shown here

Equation shown here

a = AUC(曲線下面積)

b = 消失速度

c = 吸収速度

応答変数の値とxの値がすべて正の場合にのみ使用可能です。

2コンパートメント 急速静注

Image shown here

Image shown here

Equation shown here

a = Equation shown here

b = Equation shown here

a = 初期濃度

b = 移行速度 流入

c = 移行速度 流出

d = 消失速度

応答変数の値とxの値がすべて正の場合にのみ使用可能です。

Michaelis-Menten

Image shown here

Equation shown here

a = 最大速度

b = Michaelis定数

応答変数の値とxの値がすべて正の場合にのみ使用可能です。

逆Inverse Michaelis-Menten

Image shown here

Equation shown here

a = 最大速度

b = Michaelis定数

応答変数の値とxの値がすべて正の場合にのみ使用可能です。

1次速度

Image shown here

Equation shown here

a = 初期値

b = 速度定数

xの値が負でない場合にのみ使用可能です。

可逆1次速度

Image shown here

Equation shown here

a = 初期値

b = 下限値

c = 速度定数

xの値が負でない場合にのみ使用可能です。

可逆1次速度

Image shown here

Equation shown here

a = 初期値

b = 正反応速度

c = 逆反応速度

xの値が負でない場合にのみ使用可能です。

2次反応速度

Image shown here

Equation shown here

a = 初期値

b = 速度定数

xの値が負でない場合にのみ使用可能です。

2コンポーネント2次速度

Image shown here

Equation shown here

a = 初期値

b = オフセット

c = 速度定数

xの値がいずれも負でない場合にのみ使用可能です。

Antoine

Image shown here

Equation shown here

a = 成分固有の定数

b = 成分固有の定数

c = 成分固有の定数

応答変数の0より大きい場合にのみ使用可能です。

垂直の漸近線は10aの位置にあります。

水平の漸近線はcの位置にあります。

Higuchi

Image shown here

Equation shown here

a = 放出定数

xyのすべての値が負でない場合にのみ使用可能です。

ラグを含むHiguchi

Image shown here

Equation shown here

a = 放出定数

b = タイムラグ

xyのすべての値が負でない場合にのみ使用可能です。

バーストを含むHiguchi

Image shown here

Equation shown here

a = 放出定数

b = バースト

xyのすべての値が負でない場合にのみ使用可能です。

Hixson-Crowell

Image shown here

Equation shown here

a = 放出定数

xyのすべての値が負でない場合にのみ使用可能です。

ラグを含むHixson-Crowell

Image shown here

Equation shown here

a = 放出定数

xyのすべての値が負でない場合にのみ使用可能です。

Korsmeyer-Peppas

Image shown here

Equation shown here

a = 放出定数

b = 拡散指数

xyのすべての値が負でない場合にのみ使用可能です。

ラグを含むKorsmeyer-Peppas

Image shown here

Equation shown here

a = 放出定数

b = 拡散指数

c = タイムラグ

xyのすべての値が負でない場合にのみ使用可能です。

バーストを含むKorsmeyer-Peppas

Image shown here

Equation shown here

a = 放出定数

b = 拡散指数

c = バースト

xyのすべての値が負でない場合にのみ使用可能です。

より詳細な情報が必要な場合や、質問があるときは、JMPユーザーコミュニティで答えを見つけましょう (community.jmp.com).