LenthのPSEは、「2水準スクリーニングのあてはめ」レポートの下部に表示されます。Lenthの方法(1989)は、Lenthの擬似的標準誤差(PSE; Pseudo Standard Error)とも呼ばれ、応答に対して影響をもたない効果を使って残差の標準誤差を推定します。LenthのPSEでは、対比が互いに独立しており、分散が同じであるという前提において、実験の標準誤差を推定することができます。
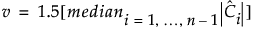
この方法では、n行に対してn - 1個の対比が作成されます。これらの対比を、
で表すとします。ここで、i = 1, ... , n - 1です。
LenthのPSEを求めるには、まず、次の計算を行います。

LenthのPSEは、重要でなさそうな効果に基づき、次の式で求められます。
