反復共分散構造の統計的詳細ここでは、「モデルのあてはめ」プラットフォームの[混合モデル]手法において、次の共分散構造がどのようなパラメータで表現されているかを紹介します。
• 異分散共分散構造
異分散共分散構造
この行列の対角要素は、以下のように定義される、時間jにおける誤差の分散です。

この共分散構造では、分散が反復列の水準によって異なっています。また、反復列の異なる水準における誤差間の共分散はゼロになっています。
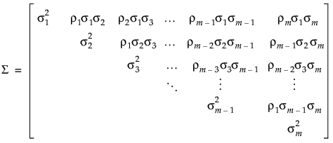
無構造の共分散構造
この行列の対角要素は、以下のように定義される、時間jにおける誤差の分散です。

この行列の非対角要素は、以下のように定義される、時間jと時間j′における誤差間の共分散です。

この共分散構造では、分散が反復列の水準によって異なっています。また、反復列の異なる水準における誤差間の共分散は、互いに異なる値になっています。
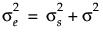
複合対称共分散構造誤差構造が複合対称(compound symmetry)である反復測定モデルは、個体を変量効果とした分割実験モデルと等価です。反復測定モデルではR行列において相関構造を表しますが、分割実験モデルでは、それと等価な構造をG行列で表します。詳細については、Searle et al.(1992)を参照してください。
混合モデルにおけるG行列は、変量効果の計画行列と関係しています。一方、R行列は、残差誤差と関係しています。個体がもつ分散は、G行列で表されます。分割実験モデルでは、G行列およびR行列が、以下のように仮定されます(なお、変量効果と残差誤差との間も、独立と仮定されます)。
• 変量効果は、独立で同一の正規分布に従うと仮定されます。つまり、sik ~ iid N(0, ss2)です。
• 残差誤差も、独立で同一の正規分布に従うと仮定されます。つまり、eijk ~ iid N(0, s2)です。
このように仮定された分割実験モデルでは、応答変数の共分散行列が次のようになります。

ここで、Jは、要素がすべて1である行列です。Iは単位行列です。
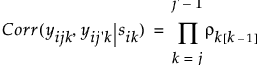
この分割実験モデルは、R行列に複合対称構造を仮定した反復測定モデルと同じです。分割実験モデルの共分散構造は、上記したように複合対称となっています。よって、この分割実験モデルは、誤差の共分散行列として複合対称を仮定した反復測定モデル(SASのPROC MIXEDではTYPE=CS)と等価です。複合対称構造は、[反復構造]タブで[複合対称]を指定すると設定されます。複合対称構造では、どの時点間でも相関が同じです。そのため、複合対称の相関行列は、次のように指定されます。

[複合対称]では、任意の時点における誤差の分散(
)は等しいと仮定されます。[複合対称]では、共分散構造は
と設定されます。この式と分割実験モデルとの関係は、

および

という関係になっています。ここで、ρは級内相関係数、
は誤差分散です。「混合モデル」手法では、単なる[複合対称]以外に、[複合対称 異分散]という構造も提供しています。[複合対称 異分散]では、時点によって誤差の分散が異なると仮定されています。

AR(1)共分散構造
ここで、tjは、第j時点の時刻です。この構造では、どの時点でも同じ分散(s2)を持ちます。パラメータr (‐1 < r < 1)は、1単位時間だけ離れた2時点の誤差間の相関です。時間の差が大きくなるにつれて、rのべき乗が大きくなるので、誤差間の相関は小さくなります。AR(1)共分散構造は、多くの分野で個体内相関として適しており、第1種の誤りを制御しながらも、高い検出力が得られることが期待されます。
Toeplitz 共分散構造Toeplitz構造では、等しい時間間隔だけ離れている観測値どうしにおいて相関が同じになっています。ただし、AR(1)相関構造とは対照的に、Toeplitz構造では時間差ごとの相関は異なっています。d単位離れた時点における誤差間の相関をrdとすると、Toeplitz構造の相関行列は次のようになります。

JMPでは、2つのオプションにおいてこのToeplitz構造の相関行列が使用されています。
• [Toeplitz]構造は、任意の時点における誤差に対し、共通の分散(s2)を仮定します。共分散構造は、S =
です。
• これに対して、[Toeplitz 異分散]構造は、以下のように、時点によって分散が異なる構造になっています。

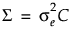
先行依存共分散構造先行依存(antedependence)構造は、柔軟性が高く、時間と共に変化する相関を表します。先行依存構造では、2つの隣接する時点(j-1および j)における相関が、個別にrj\[j−1]と表されます。
隣接しない時点(jおよびj′)での相関は、その間にある隣接する時点間の相関をすべて掛け合わせたものです。

たとえば、j=2とj′=6の時点における相関は、r21r32r43r54となります。
先行依存構造の相関行列は次のようになります。

JMPでは、2つのオプションにおいてこの先行依存構造の相関行列が使用されています。
• [先行依存 等分散]構造は、上記したような相関を仮定し、かつ、すべての時点で誤差の分散が等しいと仮定します。[先行依存 等分散]構造では、すべての時点における分散はs2、共分散行列は
です。
• [先行依存]構造は、各時点において誤差の分散が異なっています。つまり、時間jにおける誤差の分散を、
とします。このように仮定された分割実験モデルでは、応答変数の共分散行列が次のようになります。
