公開日: 04/21/2025

スコア信頼区間の統計的詳細

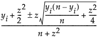
「一変量の分布」プラットフォームは、カテゴリカルな応答変数の各水準におけるスコア信頼区間(スコア法に基づいて近似した信頼区間)を計算できます。応答の各水準について、次式によってスコア信頼区間は計算されます。

Equation shown here

ここで

yiは、応答のi番目の水準における標本サイズ

nは、全体の標本サイズ

zは、標準正規分布の(a/2)の分位点

Agresti and Coull(1998)を参照してください。

より詳細な情報が必要な場合や、質問があるときは、JMPユーザーコミュニティで答えを見つけましょう (community.jmp.com).