「関数データエクスプローラ」プラットフォームの「関数の要約」レポートには、平均差、積分2乗誤差平方根(RISE; Root Integrated Square Error)、積分2乗関数平方根(RIFS; Root Integrated Function Squared)といった要約統計量が含まれます。この項では、これらの要約統計量について説明します。この項のすべての式において、入力値は0~1の間に揃えられていると仮定しています。以下の表記は、すべての関数で使用されています。
は、入力値xにおける曲線iの推定関数です。
は、入力値xにおける推定平均関数です。
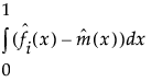
「平均差」は、IDごとの曲線と、全体的な平均曲線との差を、平均したものです。これは、平均的に見て、IDごとの曲線が平均曲線の下にくるか上にくるかを判断するのに使用できます。ある曲線iの平均差は、以下のように定義されます。
IDi = 
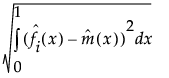
積分2乗誤差平方根(RISE; Root Integrated Square Error)は、IDごとの曲線と全体的な平均曲線との間の平均距離です。これは、どのIDの曲線が全体的な平均曲線に最も類似しているか、または最も異なるかを判断するのに使用できます。ある曲線iの積分2乗誤差平方根(RISE)は、以下のように定義されます。
RISEi = 
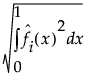
積分2乗関数平方根(RIFS; Root integrated function squared)は、最適な曲線を探すときの参考になる要約統計量です。特定の目標関数を事前に差し引いた関数であれば、積分2乗関数平方根(RIFS)が最小となる関数がその目標関数に最も近いと判断できます。ある曲線iの積分2乗関数平方根(RIFS)は、以下のように定義されます。
RIFSi = 