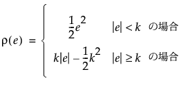
「一元配置」プラットフォームの[ロバストなあてはめ]オプションは、HuberのM推定を行います。HuberのM推定は、外れ値に対してロバスト(頑健)な推定方法であり、応答変数における外れ値が推定結果に与える影響が小さいです。HuberのM推定では、次式によって定義されているHuberの損失関数を最小にするパラメータ推定値を求めます。

この式で、

eiは残差を表します
Huberの損失関数は、誤差が小さい場合は2次曲線として増加し、誤差が大きい場合は線形に増加します。ロバスト推定(頑健推定)の詳細については、Huber(1973)およびHuber and Ronchetti(2009)を参照してください。[ロバストなあてはめ]オプションの例を参照してください。