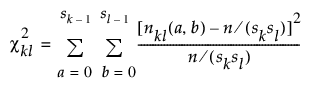
선별 설계 플랫폼에서 주효과 선별 설계는 카이제곱 기준을 사용하여 요인 간의 균형을 유지합니다. 설계에 설계 행렬의 열에 해당하는 n회 런과 p개 요인이 있다고 가정해 보겠습니다.
• 요인 k와 l의 수준을 각각 a = 0, 1, ¼, sk-1과 b = 0, 1, ¼, sl-1로 나타냅니다.
• 수준 조합 (a,b)가 k 및 l 열에 나타나는 횟수를 nkl(a,b)로 나타냅니다.
k 및 l 열에 의해 증명되는 직교성 결여 측도는 다음 표현식으로 지정됩니다.

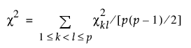
설계의 평균 비직교성 측도는 다음 표현식으로 지정됩니다.

c2의 가능한 최대값(
)이 계산됩니다. 설계의 카이제곱 효율도는 다음과 같이 정의됩니다.

카이제곱 효율도는 수준 쌍이 극단적 균형 부족을 나타내는 설계와 비교하여 c2가 0에 얼마나 가까운지 나타냅니다.