시계열 플랫폼에는 세 가지 분해 옵션이 있습니다. 각 옵션은 서로 다른 보고서를 생성합니다.
• 순환 보고서
• X11 보고서
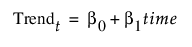
데이터에 적합되는 선형 회귀 모형의 b0 및 b1 값을 포함합니다.

추세제거 계열은 Dt = Ot - Trendt와 같습니다. 여기서 Ot는 원래 시계열입니다.
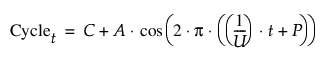
데이터에 적합되는 순환 성분의 값을 포함합니다.

모수 값은 다음과 같이 정의됩니다.
• C = 상수(선택적)
• A = 코사인파의 진폭
• U = 순환별 단위 수
• P = 코사인파의 시기입니다.
• t = 주어진 관측값의 행 번호에서 1을 뺀 값
순환제거 계열은 Dt = Ot - Cyclet와 같습니다. 여기서 Ot는 원래 시계열입니다.
분해 유형 선택에 따라 X11 옵션은 "X11 - 승법" 보고서 또는 "X11 - 가법" 보고서를 추가합니다. 보고서에는 다음과 같은 네 개의 동일한 그림이 포함됩니다.
원래 및 조정
원래 시계열 Ot 위에 X11 조정 시계열을 중첩합니다. X11 조정 값은 승법 조정의 경우 Ot/St이고 가법 조정의 경우 Ot - St입니다.
D10 - 최종 계절 요인
시간에 따른 계절 요인 성분 St를 표시합니다.
D12 - 최종 추세 순환
시간에 따른 추세 순환 성분 Ct를 표시합니다.
D13 - 최종 불규칙 계열
시간에 따른 불규칙 성분 It를 표시합니다.
X11 보고서에는 다음과 같은 빨간색 삼각형 옵션이 있습니다.
테이블 표시
X11 요약 테이블을 표시하거나 숨깁니다. 자세한 내용은 Shiskin et. al. (1967) 연구 자료에서 확인하십시오. 테이블은 B ~ F 라벨이 지정된 5개의 범주로 그룹화됩니다(Table 18.1의 설명 참조).
열 저장
계절 조정 시계열, 계절 성분(St), 추세 순환 성분(Ct) 및 불규칙 계열 성분(It)에 대한 네 개의 열을 데이터 테이블에 저장합니다.
모든 열 저장
보고서에서 테이블 표시 옵션으로 생성된 모든 테이블에 대한 열을 데이터 테이블에 저장합니다.
적합 제거
보고서 창에서 X11 보고서를 제거합니다.
|
맨 앞의 문자 |
범주 설명 |
|---|---|
|
B |
계절, 추세 순환 및 불규칙 성분의 예비 추정값 |
|
C |
계절, 추세 순환 및 불규칙 성분의 중간 추정값 |
|
D |
계절, 추세 순환 및 불규칙 성분의 최종 추정값 |
|
E |
분석 테이블 |
|
F |
요약 지표 |
X11 출력 테이블의 내용에 대한 자세한 정보는 Shisken et. al. (1967) 연구 자료 또는 SAS/ETS 15.2 User’s Guide("The output from PROC X11" 검색)에서 확인하십시오.