설계 평가 플랫폼에서 D, G 및 A 효율도가 보고됩니다. 다음은 효율도 측도를 설명할 때 사용되는 표기입니다.
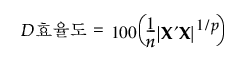
• X는 모형 행렬입니다.
• n은 설계의 런 수입니다.
• p는 모형의 항 수입니다(절편 포함).
•
는 점
에서의 상대 예측 분산입니다. 자세한 내용은 상대 예측 분산에서 확인하십시오.
•
는 설계 영역에 대한 최대 상대 예측 분산입니다.
D-최적 기준 관점에서 이상적 직교 설계의 효율도에 대한 설계 효율도입니다. D-최적 설계는 회귀 계수 벡터에 대한 결합 신뢰 영역의 크기를 최소화합니다.

G-최적 기준 관점에서 이상적 직교 설계의 효율도에 대한 설계 효율도입니다. G-최적 설계는 설계 영역에 대한 최대 예측 분산을 최소화합니다.

D가 설계 영역이라고 하면

참고: G 효율도는 설계 공간의 몬테카를로 표집을 사용하여 계산됩니다. 따라서 같은 설계에 대한 계산이 약간 다를 수 있습니다.
A-최적 기준 관점에서 이상적 직교 설계의 효율도에 대한 설계 효율도입니다. A-최적 설계는 회귀 계수 분산의 합을 최소화합니다.
