설계된 실험에 대한 상대 예측 분산은 다음과 같이 계산됩니다. 다음 표기를 고려하십시오.
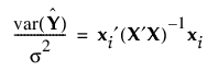
X
모형 행렬입니다. 자세한 내용은 모형 행렬에서 확인하십시오. 사용자 설계는 모형 행렬을 보여 주는 스크립트를 제공합니다. 자세한 내용은 행렬 X 저장에서 확인하십시오.
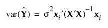
s2
오차 분산입니다.

모수의 최소 제곱 추정값 벡터입니다.

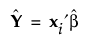
X의 i번째 행입니다.
이 표기를 사용할 경우 X의 i번째 행에 대한 예측 반응은 다음 방정식으로 구합니다.

X의 i번째 행에 대한 예측 분산은 다음 방정식으로 구합니다.

상대 예측 분산은 다음 방정식으로 구합니다.
