"행렬 X 저장" 옵션은 적률 행렬과 모형 행렬이 포함된 스크립트를 사용자 설계 데이터 테이블에 저장합니다. 이러한 행렬은 "설계 평가" 섹션의 "설계 진단" 섹션에 나오는 "예측 평균 분산"을 계산하는 데 사용됩니다. 자세한 내용은 Goos and Jones(2011)에서 확인하십시오. 분할구 설계의 경우 "V 역" 스크립트도 저장됩니다. "V 역" 스크립트에는 반응에 대한 공분산 행렬의 역이 포함됩니다.
주의: 명목형 요인이 있는 설계의 경우 "행렬 X 저장" 옵션으로 저장한 모형 행렬은 선형 모형을 적합시킬 때 사용된 코딩 행렬이 아닙니다. "모형" 스크립트를 실행할 때 나타나는 "모형 적합" 보고서에서 열 저장 > 코딩 테이블 저장 옵션을 선택하면 모형 적합에 사용되는 코딩 행렬을 가져올 수 있습니다.
참고: 행렬 스크립트를 항상 저장하도록 환경 설정을 지정할 수 있습니다. 파일 > 환경 설정 > 플랫폼 > DOE를 선택합니다. 그런 다음 "행렬 X 저장"을 선택합니다.
모형 행렬은 실험에 대한 설계를 설명합니다. 모형 행렬에는 "모형" 섹션에서 지정한 모형의 각 항에 대한 열과 각 런에 대한 행이 있습니다. 각 런에 해당하는 모형 행렬의 행에는 모형 항의 코드화된 값이 포함됩니다.
• 연속형 항은 -1 ~ 1 범위로 코드화됩니다.
• 명목형 항은 선형 모형을 적합시키는 데 사용하는 코딩 벡터에 Gram-Schmidt 직교화 프로시저를 적용하여 코드화됩니다.
Gram-Schmidt 직교화 프로시저에 대한 자세한 내용은 Horn and Johnson(2012)에서 확인하십시오.
참고: 검정력 분석의 코딩은 선형 모형 적합의 코딩과 매칭됩니다. 선형 모형 적합에서 명목형 항에 사용되는 코딩에 대한 자세한 내용은 선형 모형 적합의 명목형 효과 코딩에 대한 통계 상세 정보에서 확인하십시오.
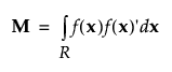
적률 행렬은 모형 효과에 종속되지만 설계와 독립적입니다. 이 값은 다음과 같이 정의됩니다.

여기서 f(x)는 요인 벡터 x의 요인 조합에 해당하는 모형 효과를 나타내고 R는 설계 공간을 나타냅니다. 적률 행렬과 설계 행렬에 대한 자세한 내용은 Goos and Jones(2011) 및 Myers et al. (2009)에서 확인하십시오. 적률 행렬을 Myers et al. (2009)에서는 영역 적률(region moments) 행렬이라고 합니다.
"사용자 설계"의 빨간색 삼각형 메뉴에서 행렬 X 저장을 선택합니다. 설계와 테이블이 생성된 후 "적률 행렬", "모형 행렬" 및 "V 역"(분할구 설계의 경우) 스크립트가 "사용자 설계" 테이블에 테이블 스크립트로 저장됩니다.
• "적률 행렬", "모형 행렬" 또는 "V 역" 스크립트에서 마우스 오른쪽 버튼을 클릭하고 편집을 선택합니다. 스크립트에 해당 행렬이 표시됩니다. 작성한 스크립트에 이 행렬을 복사할 수 있습니다.
• "적률 행렬" 스크립트를 실행하면 로그에 "Moments"라는 적률 행렬의 행 수가 표시됩니다.
• "모형 행렬" 스크립트를 실행하면 로그에 "X"라는 모형 행렬의 행 수가 표시됩니다.
• "V 역" 스크립트를 실행하면 로그에 "V Inverse"라는 공분산 역행렬의 행 수가 표시됩니다.
이 예에서는 모형 행렬 스크립트를 사용하는 방법을 보여 줍니다.
팁: 로그를 보려면 보기 > 로그(macOS에서는 창 > 로그)를 선택합니다.
1. DOE > 사용자 설계를 선택합니다.
2. 연속형 요인을 3개 추가하고 계속을 클릭합니다.
3. 교호작용 > 2차를 클릭합니다.
4. "사용자 설계"의 빨간색 삼각형을 클릭하고 행렬 X 저장을 선택합니다.
5. 기본값 런 수(12)를 사용하고 설계 생성, 테이블 생성을 차례로 클릭합니다.
6. 테이블 패널에서 "적률 행렬"을 마우스 오른쪽 버튼으로 클릭하고 편집을 선택합니다.
스크립트 창에 스크립트가 나타납니다. 이 스크립트에는 Moments라는 적률 행렬이 표시됩니다.
7. 로그가 아직 열려 있지 않으면 보기> 로그(macOS에서는 창 > 로그)를 선택합니다.
8. 테이블 패널에서 "적률 행렬" 스크립트 옆의 녹색 삼각형을 클릭합니다.
행 수가 로그에 N Row(Moments)=7로 나타납니다.
9. 테이블 패널에서 "모형 행렬"을 마우스 오른쪽 버튼으로 클릭하고 편집을 선택합니다.
스크립트 창에 스크립트가 나타납니다. 이 스크립트에는 X라는 모형 행렬이 표시됩니다.
10. 실행을 클릭합니다.
행 수가 로그에 N Row(X)=12로 나타납니다.
11. 모형 행렬을 데이터 테이블로 보려면 다음 행을 스크립트에 추가합니다.
dt = New Table( "Model Matrix" );
dt << Set Matrix( X );
12. 실행을 클릭합니다.