실험 설계 가이드
>
기술 상세 정보
>
별칭 행렬
> 변경이 어렵거나 매우 어려운 요인이 있는 설계
발행일 : 03/10/2025
변경이 어렵거나 매우 어려운 요인이 있는 설계
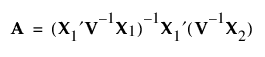
변경이 어렵거나 매우 어려운 요인이 있는 설계된 실험의 경우 별칭 행렬은 다음과 같이 제공됩니다.
여기서
V
는 반응에 대한 공분산 행렬의 대각 블록입니다.
더 많은 정보를 원하십니까? 질문이 있습니까? JMP 사용자 커뮤니티에서 답변 받기
(community.jmp.com)
.
이 사이트는 JavaScript가 활성화 된 상태에서 가장 잘 작동합니다.