설계된 실험에서 별칭 행렬 항목은 "별칭 항" 섹션에서 지정한 효과에 의해 모형 모수에 전달되는 편향 정도를 나타냅니다. 별칭 행렬은 별칭 최적을 정의하는 데도 사용됩니다. 자세한 내용은 별칭 최적에서 확인하십시오.
별칭 행렬의 계산은 모형 행렬을 기반으로 합니다. 자세한 내용은 모형 행렬에서 확인하십시오.
X1을 "모형" 섹션의 항에 해당하는 모형 행렬로 지정하겠습니다. "별칭 항" 섹션에 지정된 효과에 대한 모형 항 행렬을 X2로 나타냅니다.
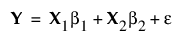
가정된 모형은 다음과 같습니다.

일부 별칭 항이 활성이고 참모형이 다음과 같이 제공되는 경우를 가정해 보겠습니다.

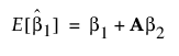
b1의 최소 제곱 추정량은 다음 방정식으로 구합니다.

일반적인 회귀 가정하에서
의 기대값은 다음 방정식으로 구합니다.

여기서
입니다.
행렬 A를 별칭 행렬이라고 합니다.