실험 설계 가이드 > 사용자 설계 > 사용자 설계 분석의 예
발행일 : 03/10/2025

사용자 설계 분석의 예

회귀 모형을 사용하여 사용자 설계 실험의 결과를 평가합니다.

1. 도움말 > 샘플 데이터 폴더를 선택하고 Design Experiment/Wine Data.jmp를 엽니다.

2. 테이블 패널에서 Model 스크립트 옆의 녹색 삼각형을 클릭합니다.

그림 4.10 와인 실험의 모형 규격 창 

Model Specification Window for the Wine Experiment

블록 요인 Rater가 고정 효과로 추가되어 있습니다. 이는 5명의 평가자가 명확하게 선택되었고 큰 모집단의 랜덤 표본이 아니므로 적합합니다. 평가자가 더 큰 모집단의 랜덤 표본인 경우 블록 요인은 임의 효과입니다.

3. 실행을 클릭합니다.

완전 모형 결과 해석

사용자 설계 예에서 얻은 결과 모형이 아래에 나와 있습니다.

그림 4.11 모형 적합 결과(일부) 

Partial Model Fit Results

다음 사항에 유의하십시오.

"실제값 대 예측값 그림"에 적합 결여의 뚜렷한 증거가 없습니다.

"실제값 대 예측값" 그림과 그 아래의 p 값에 따르면 모형이 유의합니다.

"효과 검정" 보고서는 7개 모형 항이 0.05 수준에서 유의함을 나타냅니다. Field, TemperatureBarrel Age는 유의하지 않습니다.

"효과 요약" 보고서에는 이러한 효과가 유의성이 큰 것부터 순서대로 나열됩니다. LogWorth 값이 클수록 p 값이 작고 유의성이 큽니다.

모형 축소

다음과 같이 비활성으로 식별된 효과를 제거하여 사용자 설계의 결과 모형을 축소합니다.

1. "효과 요약" 보고서에서 Ctrl 키를 누르고 Temperature, FieldBarrel Age를 선택합니다.

2. 제거를 클릭합니다.

보고서가 업데이트되어 이 세 효과가 제거된 모형 적합이 표시됩니다.

프로파일러로 모형 결과 해석

축소 모형의 "실제값 대 예측값 그림"은 적합 결여 문제가 없음을 보여 줍니다. "효과 요약" 및 "효과 검정" 보고서는 나머지 7개 항이 0.05 수준에서 유의함을 보여 줍니다. 예측 프로파일러를 사용하여 축소된 모형을 추가적으로 탐색합니다.

Figure 4.12에서는 예측 프로파일러를 보여 줍니다. 반응에 지정된 목표는 "최대화"이고 하한 및 상한 값이 각각 0과 20입니다. 이러한 한계는 설계 생성 중에 설정되었으므로 "반응 한계" 열 특성이 사용자 설계 테이블의 Rating 열에 저장되었습니다. 예측 프로파일러는 반응 한계 정보를 사용하여 Figure 4.12의 위쪽 행에서 맨 오른쪽 그림에 나타나는 만족도 함수를 구성합니다. 아래쪽 행은 만족도 트레이스를 표시합니다.

위쪽 행의 처음 6개 그림은 예측 모형의 트레이스를 표시합니다. 각 요인에 대해 그림의 선은 다른 모든 요인이 빨간색 수직 파선에 의해 정의된 값으로 설정될 때 Rating이 어떻게 변하는지 보여 줍니다. 기본적으로 프로파일러는 낮은 값으로 설정된 범주형 요인과 함께 나타납니다. 요인의 설정을 변경하면 와인에 대한 예측 Rating이 어떻게 변하는지 확인할 수 있습니다. 평균 예측 Rating에 대해 신뢰 구간이 제공됩니다.

프로파일러에 표시된 요인 중에 Rater가 포함되어 있지 않습니다. Rater는 블록 변수이기 때문입니다. 변동을 설명하기 위해 Rater를 포함했지만 Rater는 공정 요인 설정의 최적화에 있어서 직접적 관심 요인이 아닙니다. 지정된 설정을 사용한 와인의 예측 Rating은 모든 평가자가 해당 와인에 대해 평가한 예측 등급의 평균입니다.

그림 4.12 축소 모형의 프로파일러 

Profiler for Reduced Model

요인 설정 최적화

예측 프로파일러를 사용하여 사용자 설계 결과를 기반으로 최적 설정을 식별합니다. 평가자 전체에서 Rating을 최대화하는 설정을 식별하려고 합니다.

1. "예측 프로파일러"의 빨간색 삼각형을 클릭하고 최적화 및 만족도 > 만족도 최대화를 선택합니다.

"예측 프로파일러"의 빨간색 수직 파선이 업데이트되어 각 요인에 대한 최적 설정이 표시됩니다. 최적 설정의 예측 등급 결과는 19.925입니다. 일반적으로 동일한 최적값을 얻는 요인 설정 집합이 여러 개 있을 수 있습니다.

그림 4.13 요인 설정이 최적화된 예측 프로파일러 

Prediction Profiler with Factor Settings Optimized

2. 모든 런의 예측 등급을 보려면 예측 계산식을 저장합니다. "반응 Rating"의 빨간색 삼각형을 클릭하고 열 저장 > 예측 계산식을 선택합니다.

예측 계산식 Rating 열이 데이터 테이블에 추가됩니다. 전체 런 중 하나(33행)에 Rater 5가 최대 등급 20을 지정했습니다. Rater 5가 평가하는 이 런의 예측 등급은 19.550입니다. 그러나 33행 실험은 최적 설정으로 실행되었습니다. "예측 프로파일러"에서 이러한 설정에 지정된 예측값 19.925는 5명의 모든 평가자가 해당 런에 대해 평가한 예측 등급의 평균을 구하여 계산됩니다.

요인 수준 잠금

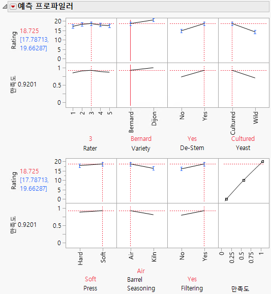
프로파일러에서 요인을 잠금으로써 특정 조건에서의 최적화를 탐색할 수 있습니다. 설계 반응을 최대화한 결과 Dijon 품종의 포도에서 최적 등급을 얻는다는 사실을 알게 되었습니다(Figure 4.13). 이는 Bernard 포도를 재배하는 밭에 어린 Dijon 포도나무를 새로 심는 것은 비용이 많이 발생할 수 있음을 시사합니다. 따라서 Bernard 포도에 대한 최적의 공정 설정과 예측 등급을 찾아야 합니다.

1. "예측 프로파일러"의 Variety 그림에서 빨간색 수직 파선을 Bernard로 드래그합니다.

2. Ctrl 키를 누르고 Variety 그림 중 하나를 클릭합니다.

"요인 설정" 창이 나타납니다.

3. 요인 설정 잠금을 선택하고 확인을 클릭합니다.

4. "예측 프로파일러"의 빨간색 삼각형을 클릭하고 최적화 및 만족도 > 만족도 최대화를 선택합니다.

그림 4.14 Bernard 품종에 대한 최적 설정을 사용한 예측 프로파일러 

Prediction Profiler with Optimal Settings for Bernard Variety

모형에 교호작용 항이 없으므로 최적 설정이 변경되지 않습니다. 이 설정에서 예측 등급은 17.975입니다.

프로파일러에 Rater 추가

Rater 수준에 대한 프로파일러 트레이스를 보려면 다음 단계를 수행하십시오.

1. "예측 프로파일러"의 빨간색 삼각형을 클릭하고 요인 격자 재설정을 선택합니다.

Rater를 포함하여 모든 요인에 대한 열이 포함된 "요인 설정" 창이 나타납니다. Rater 아래의 표시 옆에 있는 상자는 선택되어 있지 않습니다. 이는 Rater가 예측 프로파일러에 표시되지 않음을 나타냅니다.

2. Rater 아래에서 표시 행의 상자를 선택합니다.

3. Rater 아래에서 요인 설정 잠금 행의 상자를 선택 취소합니다.

4. 확인을 클릭합니다.

프로파일러가 업데이트되어 Rater 그림이 표시됩니다.

5. Rater 위의 그림 중 하나를 클릭합니다.

그림 4.15 Rater를 표시하는 축소 모형의 프로파일러 

Profiler for Reduced Model Showing Rater

빨간색 수직 파선이 나타납니다. 이 선을 드래그하여 각 평가자의 트레이스를 확인할 수 있습니다. Variety가 Bernard에서는 계속 잠금 상태입니다. Variety 잠금을 해제하려면 Ctrl 키를 누르고 Variety 그림 중 하나를 클릭합니다. "요인 설정" 창이 나타나면 요인 설정 잠금을 선택 취소합니다.

더 많은 정보를 원하십니까? 질문이 있습니까? JMP 사용자 커뮤니티에서 답변 받기 (community.jmp.com).