이 예에서는 예측 프로파일러를 사용하여 분산을 최소화하면서 반응에 대한 특정 목표를 달성하는 요인 설정을 찾는 방법을 보여 줍니다. 모형을 적합시킨 후 프로파일러를 사용하여 평균의 목표값을 일치시키고 분산을 최소화합니다.
1. 도움말 > 샘플 데이터 폴더를 선택하고 InjectionMolding.jmp를 엽니다.
2. 분석 > 모형 적합을 선택합니다.
데이터 테이블의 변수에 사전 선택된 역할이 할당되어 있으므로 분석이 자동으로 실행됩니다.
3. "로그선형 분산 적합"의 빨간색 삼각형을 클릭하고 프로파일러 > 프로파일러를 선택합니다.
4. "예측 프로파일러"의 빨간색 삼각형을 클릭하고 최적화 및 만족도 > 만족도 설정을 선택합니다.
5. "반응 목표" 창이 나타나면 "최대화"를 "목표값 일치"로 변경합니다.
6. 확인을 클릭합니다.
7. 두 번째 "반응 목표" 창에서 확인을 클릭합니다.
8. "예측 프로파일러"의 빨간색 삼각형을 클릭하고 최적화 및 만족도 > 만족도 최대화를 선택합니다.
9. "예측 프로파일러"의 빨간색 삼각형을 클릭하고 예측 구간을 선택합니다.
참고: 최적화 프로세스의 랜덤 시작 값으로 인해 결과가 다를 수 있습니다.
그림 11.7 예측 구간을 포함한 목표값 일치 및 분산 최소화 프로파일러
평균과 분산(둘 다 로그 분산 분석법으로 모델링됨)의 관계를 확인하는 가장 좋은 방법 중 하나는 평균에 대한 개별 예측 신뢰 구간을 검토하는 것입니다. 정규 신뢰 구간(프로파일러에 기본적으로 표시된 구간)은 개별 예측 신뢰 구간만큼 분산 모형에 대한 정보를 충분히 나타내지 않습니다. 예측 구간은 평균 및 분산 모형을 모두 한 그래프에 표시합니다.
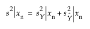
Y가 모델링된 반응이고 xn에서 새 관측값에 대한 예측 구간이 필요한 경우:

다음은 각 요소에 대한 설명입니다.
- xn에서 개별 예측에 대한 분산
- xn에서 Y 분포의 분산
-
의 표본 분포 분산이며 평균의 분산
개별 예측의 분산은 Y 분포의 분산을 포함하므로 Y에 대한 분산이 변화할 때의 효과를 확인할 수 있습니다. 개별 예측 구간은 더 넓을 뿐만 아니라 분산 효과의 변화에 따라 형태를 변경할 수도 있습니다.