이 테이블에는 각 교배에 대한 다양한 통계량이 나열되어 있습니다.
교배
이 열에는 1부터 시작하여 총 교배 수까지 교배 번호가 나열됩니다.
모계 성별(Sex)
이 열에는 초기 교배의 모계 성별이 나열됩니다. 이 열 이름은 교배 옵션에 입력한 열 이름에 따라 변경됩니다. 이 예에서는 열 이름이 Sex이므로 모계 Sex가 표시됩니다. 열 이름은 항상 "모계" + 교배 옵션의 열 이름입니다.
부계 성별(Sex)
이 열에는 초기 교배의 부계 성별이 나열됩니다. 이 열 이름은 교배 옵션에 입력한 열 이름에 따라 변경됩니다. 이 예에서는 열 이름이 Sex이므로 부계 Sex가 표시됩니다. 열 이름은 항상 "부계" + 교배 옵션의 열 이름입니다.
세대
이 열에는 특정 자손이 속한 세대가 나열됩니다.
마이너 대립유전자 빈도(MAF) 평균
이 열에는 모든 표지자에 대한 평균 MAF가 표시됩니다. MAF는 관측된 모집단에서 각 표지자에 대한 마이너 대립유전자의 비율을 나타냅니다. 대립유전자 M1과 M2를 가진 이중 대립유전자 표지자의 유전자자리를 M으로 가정합니다. 따라서 배수성 k가 짝수인 N개 개체의 표본은 유전자자리에 k + 1개의 다른 유전자형을 가질 수 있습니다. i(i = 0, 1, 2, …, k)개의 M1 대립유전자 복제와 j(j = 0, 1, 2, …, k)개의 M2 대립유전자 복제를 가진 개체 수를 Nij로 표시합니다. M1 대립유전자의 복제 수 n1은 n1 = 0 ´ N00 + 1 ´ N10 + 2 ´ N20 + … + k ´ Nk0 합을 통해 바로 구할 수 있습니다. M1 대립유전자의 표본 빈도는 p1 = n1/(k ´ n), M2 대립유전자의 빈도는 p2 = 1 - p1, M1 대립유전자의 u개 복제와 M2 대립유전자의 v개 복제를 가진 각 유전자형에 대한 표본 빈도는 Pij = Nij/n으로 각각 작성됩니다.
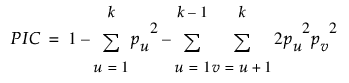
다형성 정보 지수(PIC) 평균
이 열에는 모든 표지자에 대한 평균 PIC가 표시됩니다. PIC(Botstein et al., 1980; Hilderbrand, Torney, and Wagner, 1992)는 아버지, 어머니, 자녀의 표지자 유전자형을 고려하여 특정 부모가 자녀에게 전달한 대립유전자를 구별할 확률을 측정합니다.

이형접합성(HET) 평균
이 열에는 모든 표지자에 대한 평균 HET가 표시됩니다. 이형접합성은 관측된 모집단에서 이형접합 개체의 비율을 말하며, 관측 이형접합성이라고도 합니다.

대립유전자 다양성 평균
이 열에는 모든 표지자에 대한 평균 대립유전자 다양성이 표시됩니다. 대립유전자 다양성은 Hardy-Weinberg 평형을 유지할 때 데이터 집합에서 이형접합 개체의 기대 비율을 말하며, 기대 이형접합성이라고도 합니다.

Pred Formula Trait 평균
이 열에는 각 세대에서 각 교배의 자손에 대한 예측 형질 값 평균이 나열됩니다.
Pred Formula Trait 평균의 표준 오차
이 열에는 각 세대에서 각 교배의 자손에 대한 예측 형질 값 평균의 표준 오차가 나열됩니다. 이 값은 기대 변동성의 지표를 제공합니다.