그래프 분석 > 평행 그림 > 평행 그림 > 평행 그림 해석
발행일 : 03/10/2025

평행 그림 해석

평행 그림을 해석하는 데 도움이 되도록 평행 그림을 산점도와 비교합니다. 다음 각 그림에서 평행 그림은 왼쪽에 나타나고 산점도는 오른쪽에 나타납니다.

강한 양의 상관관계

다음 그림에서는 강한 양의 상관관계를 보여 줍니다. 평행 그림에서 선의 일관성에 주목하십시오.

그림 7.6 강한 양의 상관관계 

Strong Positive Correlation

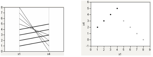
강한 음의 상관관계

반면에 강한 음의 상관관계는 평행 그림에서 좁은 목(neck) 부분으로 나타납니다.

그림 7.7 강한 음의 상관관계 

Strong Negative Correlation

공선 그룹

이제 두 개의 그룹이 있고, 서로 강한 공선성을 갖는다는 두 가지 상황을 모두 포함하는 사례를 가정해 보겠습니다. 한 그룹은 기울기가 양수이고 다른 그룹은 기울기가 음수입니다. Figure 7.8에서 양수 기울기 그룹이 강조 표시되어 있습니다.

그림 7.8 공선 그룹: 평행 그림과 산점도 

Collinear Groups: Parallel Plot and Scatterplot

단일 이상치

마지막으로 단일 이상치를 가정해 보겠습니다. 평행 그림에서는 눈에 띄는 예외가 하나 있고 일반적으로 선 간에 일관성이 있음을 보여 줍니다.

그림 7.9 단일 이상치: 평행 그림과 산점도 

Single Outlier: Parallel Plot and Scatterplot

관련 정보

평행 그림 플랫폼의 추가 예

더 많은 정보를 원하십니까? 질문이 있습니까? JMP 사용자 커뮤니티에서 답변 받기 (community.jmp.com).