한 개의 표본 평균에 대한 오차 한계 탐색기를 사용하여 하나의 표본 평균에 대한 신뢰도, 예측 또는 공차 구간을 위해 표본 크기를 결정할 수 있습니다. DOE > 표본 크기 탐색기 > 신뢰 구간 > 한 개의 표본 평균에 대한 오차 한계를 선택합니다. 변동 가정, 표본 크기, 유의성 및 오차 한계 간의 균형을 탐색합니다.
라디오 버튼, 텍스트 상자 및 메뉴를 사용하여 연구 가정을 설정하고 표본 크기를 탐색합니다. 설정을 변경하면 프로파일러가 업데이트됩니다. 또는 프로파일러 곡선 위의 십자기호를 드래그하여 설정을 변경합니다.
구간 유형
단측
단측 구간을 지정합니다(상한 또는 하한).
양측
양측 구간을 지정합니다.
구간 용도
신뢰도
평균에 대한 신뢰 구간을 지정합니다.
예측
미래 관측값 하나에 대한 예측 구간을 지정합니다.
공차
모비율을 포함하는 공차 구간을 지정합니다.
예비 정보
알파
신뢰 수준 1 - 알파를 지정합니다. 유의 수준 기본값은 95% 신뢰 구간에 대해 0.05입니다.
비율
("구간 용도"가 "공차"로 선택된 경우에만 사용할 수 있음) 해당 공차 구간에 포함될 모비율을 지정합니다.
모표준편차
계산의 분포를 지정합니다.
예
알려진 표준편차를 지정하고 계산에 z 분포를 사용합니다.
아니요
알려지지 않은 표준편차를 지정하고 계산에 t 분포를 사용합니다.
프로파일러를 사용하면 표본 크기 가정이 오차 한계 계산에 미치는 영향을 시각화할 수 있습니다.
다음 값 계산:
표본 크기 또는 가정된 표준편차를 계산할 수 있습니다.
오차 한계
구간 너비의 1/2을 지정합니다. 다른 모든 모수가 고정된 경우 표본 크기가 커질수록 오차 한계는 감소합니다.
표본 크기
구간을 생성하는 데 필요한 총 관측값(런, 실험 단위 또는 표본) 수를 지정합니다.
표준편차(s)
가정된 모표준편차를 지정합니다.
탐색기의 빨간색 삼각형 메뉴와 보고서 버튼은 다음과 같은 추가 옵션을 제공합니다.
데이터 시뮬레이션
탐색기 설정을 기반으로 시뮬레이션된 데이터의 데이터 테이블을 엽니다. 사용된 설정에 대한 시뮬레이션된 반응 열 계산식을 봅니다.
데이터 수집 테이블 생성
데이터 수집에 사용할 수 있는 새 데이터 테이블을 생성합니다. 이 테이블에는 데이터 분석을 쉽게 할 수 있는 스크립트가 포함되어 있습니다.
설정 저장
현재 설정을 "저장된 설정" 테이블에 저장합니다. 이렇게 하면 일련의 대체 연구 계획을 저장할 수 있습니다. 자세한 내용은 표본 크기 탐색기의 저장된 설정에서 확인하십시오.
기본값으로 재설정
모든 모수와 그래프를 기본값으로 재설정합니다.
도움말
JMP 온라인 도움말을 엽니다.
s가 알려져 있을 경우 표준 정규 기반 프로시저를 사용하여 각 구간 유형을 계산하며 이외의 경우에는 t 분포 프로시저 또는 근사 방식을 사용합니다.
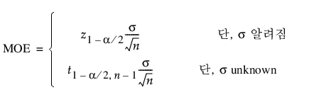
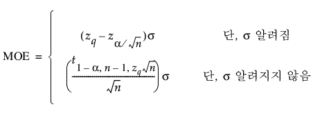
양측 신뢰 구간의 MOE(오차 한계)는 다음과 같이 계산됩니다.

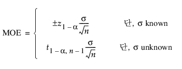
단측 신뢰 구간의 MOE는 다음과 같이 계산됩니다.

다음은 각 요소에 대한 설명입니다.
a는 유의 수준입니다.
z1-α는 정규 분포의 (1 - a)번째 분위수입니다.
t1-α,ν은 자유도가 n인 중심 t 분포의 (1 - a)번째 분위수입니다.
s는 가정된 모표준편차입니다.
n은 표본 수입니다.
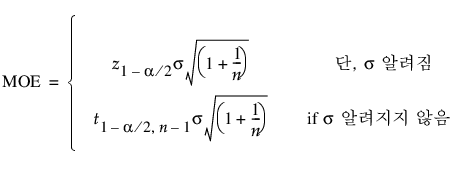
예측 구간의 MOE(오차 한계)는 다음과 같이 계산됩니다.

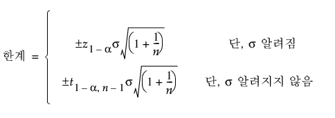
한계는 다음과 같이 계산됩니다.

다음은 각 요소에 대한 설명입니다.
a는 유의 수준입니다.
z1-α는 정규 분포의 (1 - a)번째 분위수입니다.
t1-α,ν은 자유도가 n인 중심 t 분포의 (1 - a)번째 분위수입니다.
s는 가정된 모표준편차입니다.
n은 표본 수입니다.
모표준편차가 알려진 경우 오차 한계는 Krishnamoorthy & Mathew(2009)에 설명된 근사 프로시저를 기반으로 계산됩니다. 모표준편차가 알려지지 않은 경우 양측 구간은 Howe 근사 수정을 사용합니다.
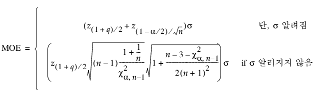
모비율 q를 포함하는 양측 공차 구간의 경우 공차 구간의 MOE(오차 한계)는 다음과 같이 계산됩니다.

모비율 q를 포함하는 단측 공차 구간의 경우 공차 구간의 MOE(오차 한계)는 다음과 같이 계산됩니다.

다음은 각 요소에 대한 설명입니다.
a는 유의 수준입니다.
zα는 정규 분포의 a번째 분위수입니다.
c2α,ν은 자유도가 n인 중심 c2 분포의 a번째 분위수입니다.
t1-α,ν은 자유도가 n인 중심 t 분포의 (1 - a)번째 분위수입니다.
s는 가정된 모표준편차입니다.
n은 표본 수입니다.