한 개의 표본 비율에 대한 오차 한계를 사용하여 신뢰 구간을 위한 표본 크기를 결정할 수 있습니다. DOE > 표본 크기 탐색기 > 신뢰 구간 > 한 개의 표본 비율에 대한 오차 한계를 선택합니다. 가정된 비율, 표본 크기, 유의성 및 구간에 대한 오차 한계 간의 균형을 탐색합니다. 계산에 스코어 신뢰 구간이 사용됩니다. 스코어 신뢰 구간은 대칭이 아닙니다.
주의: 특정 신뢰 하한 또는 신뢰 상한을 얻기 위해 연구 크기를 조정하려는 경우 주의하십시오. 오차 한계는 구간 너비의 절반입니다. 스코어 신뢰 구간은 대칭이 아닙니다. 가정된 비율 0.5 + 오차 한계 및 0.5 - 오차 한계는 신뢰 구간의 상한과 하한에 해당합니다. 가정된 비율이 0.5에서 멀어지면 가정된 비율 + 오차 한계 및 가정된 비율 - 오차 한계는 신뢰 구간의 상한 및 하한과 다릅니다.
라디오 버튼, 텍스트 상자 및 메뉴를 사용하여 연구 가정을 설정하고 표본 크기를 탐색합니다. 설정을 변경하면 프로파일러가 업데이트됩니다. 또는 프로파일러 곡선 위의 십자기호를 드래그하여 설정을 변경합니다.
구간 유형
단측
단측 구간을 지정합니다(상한 또는 하한).
양측
양측 구간을 지정합니다.
예비 정보
알파
신뢰 수준 1 - 알파를 지정합니다. 유의 수준 기본값은 95% 신뢰 구간에 대해 0.05입니다.
프로파일러를 사용하면 표본 크기 가정이 오차 한계 계산에 미치는 영향을 시각화할 수 있습니다.
다음 값 계산:
표본 크기 또는 가정된 비율을 계산할 수 있습니다.
오차 한계
구간 너비의 1/2을 지정합니다. 다른 모든 모수가 고정된 경우 표본 크기가 커질수록 오차 한계는 감소합니다.
참고: 스코어 신뢰 구간은 점 추정값을 중심으로 대칭이 아닙니다. 따라서 오차 한계가 점 추정값의 양쪽에서 동일하지 않습니다.
표본 크기
구간을 생성하는 데 필요한 총 관측값(런, 실험 단위 또는 표본) 수를 지정합니다.
비율
구간의 가정된 비율을 지정합니다.
탐색기의 빨간색 삼각형 메뉴와 보고서 버튼은 다음과 같은 추가 옵션을 제공합니다.
데이터 시뮬레이션
탐색기 설정을 기반으로 시뮬레이션된 데이터의 데이터 테이블을 엽니다. 사용된 설정에 대한 시뮬레이션된 반응 열 계산식을 봅니다.
데이터 수집 테이블 생성
데이터 수집에 사용할 수 있는 새 데이터 테이블을 생성합니다. 이 테이블에는 데이터 분석을 쉽게 할 수 있는 스크립트가 포함되어 있습니다.
설정 저장
현재 설정을 "저장된 설정" 테이블에 저장합니다. 이렇게 하면 일련의 대체 연구 계획을 저장할 수 있습니다. 자세한 내용은 표본 크기 탐색기의 저장된 설정에서 확인하십시오.
기본값으로 재설정
모든 모수와 그래프를 기본값으로 재설정합니다.
도움말
JMP 온라인 도움말을 엽니다.
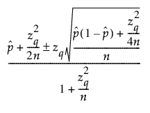
모비율을 알아내기 위한 구간 계산은 스코어 신뢰 구간을 기반으로 합니다. 자세한 내용은 Agresti & Coull(1998)에서 확인하십시오. 양측 스코어 신뢰 구간의 형식은 다음과 같습니다.

여기서 zq는 표준 정규 분포의 q 분위수입니다. 양측 구간에는 q = 1 - a/2를 사용하고 단측 구간에는 q = 1 - a를 사용합니다.
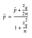
스코어 구간은 비율 추정값을 중심으로 대칭이 아니며 다음 값을 중심으로 대칭입니다.

가중 평균
및 0.5