두 개의 독립 표본 비율에 대한 오차 한계 탐색기를 사용하여 두 비율의 차이, 로그 상대 위험도 또는 로그 승산의 신뢰 구간을 위한 표본 크기를 결정할 수 있습니다. DOE > 표본 크기 탐색기 > 신뢰 구간 > 두 개의 독립 표본 비율에 대한 오차 한계를 선택합니다. 변동 가정, 표본 크기, 유의성 및 구간에 대한 오차 한계 간의 균형을 탐색합니다.
라디오 버튼, 텍스트 상자 및 메뉴를 사용하여 연구 가정을 설정하고 표본 크기를 탐색합니다. 설정을 변경하면 프로파일러가 업데이트됩니다. 또는 프로파일러 곡선 위의 십자기호를 드래그하여 설정을 변경합니다.
구간 유형
단측
단측 구간을 지정합니다(상한 또는 하한).
양측
양측 구간을 지정합니다.
구간 용도
비율의 차이
두 비율의 차이(p1 - p2)에 대한 신뢰 구간을 지정합니다.
로그 상대 위험도
로그 척도의 상대 위험도(p1/p2)에 대한 신뢰 구간을 지정합니다.
로그 승산비
로그 척도의 승산비(p1/(1-p1))/(p2/(1-p2))에 대한 신뢰 구간을 지정합니다.
예비 정보
알파
신뢰 수준 1 - 알파를 지정합니다. 유의 수준 기본값은 95% 신뢰 구간에 대해 0.05입니다.
프로파일러를 사용하면 표본 크기 가정이 오차 한계 계산에 미치는 영향을 시각화할 수 있습니다.
총 표본 크기
실험에 필요한 총 관측값(런, 실험 단위 또는 표본) 수를 지정합니다. 오차 한계 곡선은 총 표본 크기를 기반으로 합니다. 총 표본 크기를 잠그려면 "잠금"을 선택합니다.
다음 값 계산:
표본 크기 또는 가정된 비율을 계산할 수 있습니다.
오차 한계
양측 구간 너비의 1/2 또는 단측 구간의 너비를 지정합니다. 다른 모든 모수가 고정된 경우 표본 크기가 커질수록 오차 한계는 감소합니다.
그룹 1 표본 크기
실험에서 그룹 1에 필요한 관측값(런, 실험 단위 또는 표본) 수를 지정합니다.
그룹 2 표본 크기
실험에서 그룹 2에 필요한 관측값(런, 실험 단위 또는 표본) 수를 지정합니다.
그룹 1 비율
그룹 1의 가정된 비율을 지정합니다.
그룹 2 비율
그룹 2의 가정된 비율을 지정합니다.
참고: 총 표본 크기가 잠겨 있지 않은 경우 한 그룹의 표본 크기를 조정하면 총 표본 크기가 조정됩니다. 총 표본 크기가 잠겨 있는 경우 한 그룹의 표본 크기를 조정하면 두 번째 그룹의 표본 크기가 조정됩니다.
탐색기의 빨간색 삼각형 메뉴와 보고서 버튼은 다음과 같은 추가 옵션을 제공합니다.
데이터 시뮬레이션
탐색기 설정을 기반으로 시뮬레이션된 데이터의 데이터 테이블을 엽니다. 사용된 설정에 대한 시뮬레이션된 반응 열 계산식을 봅니다.
데이터 수집 테이블 생성
데이터 수집에 사용할 수 있는 새 데이터 테이블을 생성합니다. 이 테이블에는 데이터 분석을 쉽게 할 수 있는 스크립트가 포함되어 있습니다.
설정 저장
현재 설정을 "저장된 설정" 테이블에 저장합니다. 이렇게 하면 일련의 대체 연구 계획을 저장할 수 있습니다. 자세한 내용은 표본 크기 탐색기의 저장된 설정에서 확인하십시오.
기본값으로 재설정
모든 모수와 그래프를 기본값으로 재설정합니다.
도움말
JMP 온라인 도움말을 엽니다.
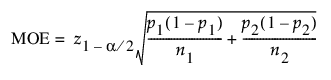
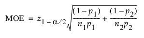
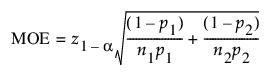
각 구간 유형에 대한 계산은 정규 근사를 기반으로 합니다.
비율 차이에 대한 구간의 경우 양측 신뢰 구간의 MOE(오차 한계)는 다음과 같이 계산됩니다.

단측 구간의 MOE는 다음과 같이 계산됩니다.

상대 위험도 로그의 경우 MOE(오차 한계)는 다음과 같이 계산됩니다.

단측 구간의 MOE는 다음과 같이 계산됩니다.

승산비 로그의 경우 오차 한계는 다음과 같이 계산됩니다.

단측 구간의 MOE는 다음과 같이 계산됩니다.

다음은 각 요소에 대한 설명입니다.
a는 유의 수준입니다.
n1과 n2는 그룹 표본 크기입니다.
p1과 p2는 그룹 비율입니다.
z1-α는 분포의 (1 - a)번째 분위수입니다.